Официальное опубликование правовых актов
ОФИЦИАЛЬНОЕ ОПУБЛИКОВАНИЕ
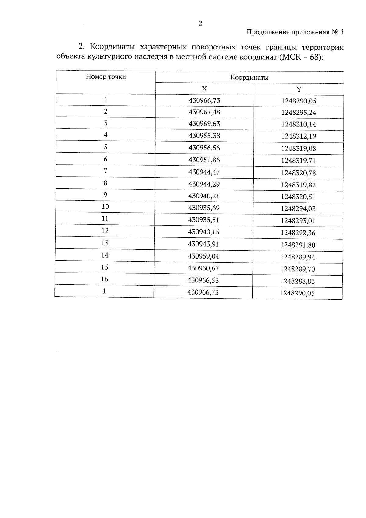
Приказ Департамента по государственной охране объектов культурного наследия Тамбовской области от 15.01.2026 № 13
"О включении выявленного объекта культурного наследия "Дом жилой" (Тамбовская область, г. Тамбов, ул. Советская, д. 91) в единый государственный реестр объектов культурного наследия (памятников истории и культуры) народов Российской Федерации в качестве объекта культурного наследия регионального значения, утверждении границ территории объекта культурного наследия и режима ее использования"
(Зарегистрирован 15.01.2026 № 13)
Номер опубликования: 6801202601190001
Дата опубликования: 19.01.2026
Страница №4 из 5:
Увеличить