Приказ Министерства имущественных отношений и государственного заказа Тамбовской области от 15.01.2026 № 7
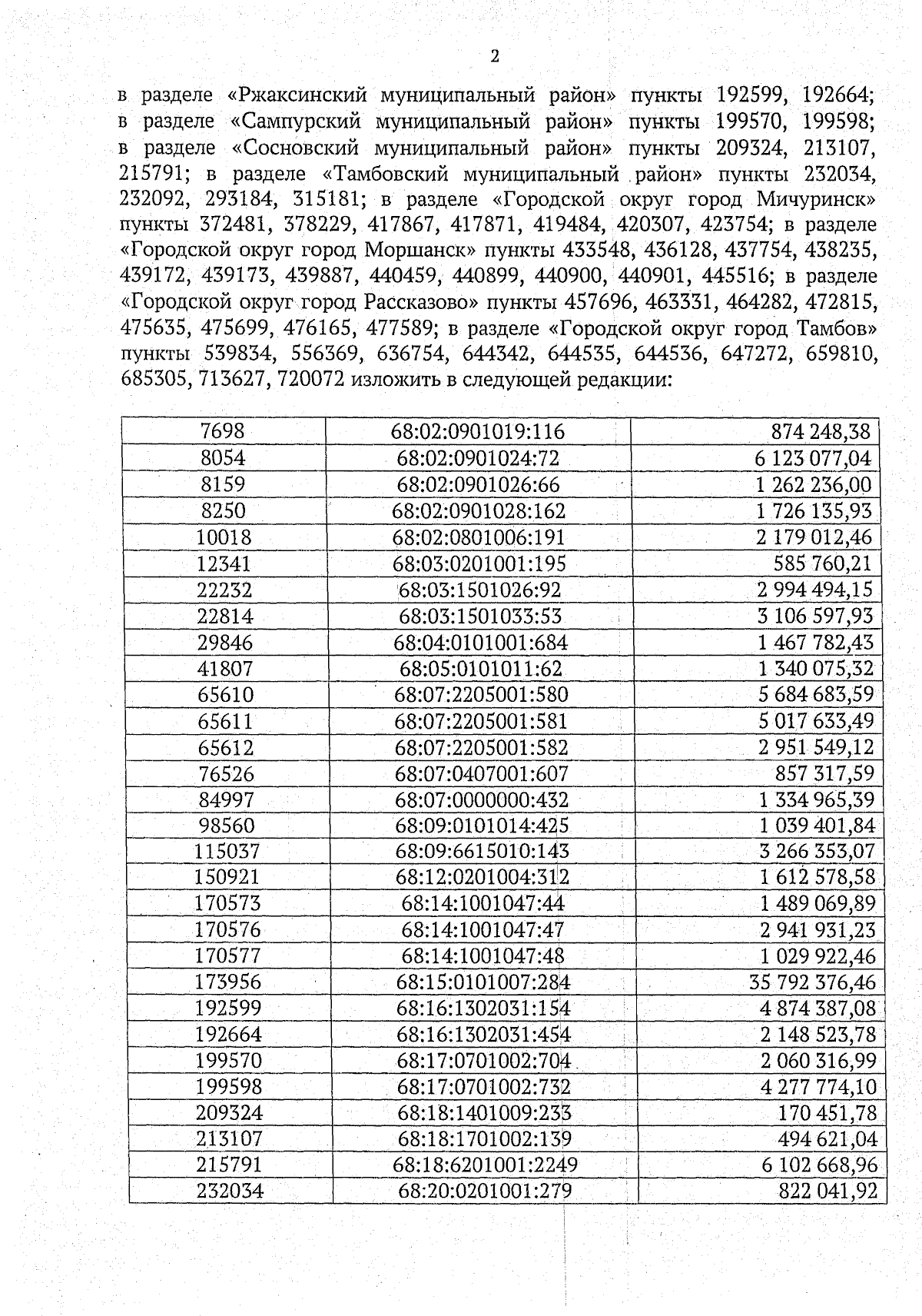
"О внесении изменений в приложение к приказу министерства имущественных отношений и государственного заказа Тамбовской области от 16.10.2023 № 585 "Об утверждении результатов определения кадастровой стоимости зданий, помещений, сооружений, объектов незавершенного строительства, машино-мест, расположенных на территории Тамбовской области"
(Зарегистрирован 15.01.2026 № 7)
"О внесении изменений в приложение к приказу министерства имущественных отношений и государственного заказа Тамбовской области от 16.10.2023 № 585 "Об утверждении результатов определения кадастровой стоимости зданий, помещений, сооружений, объектов незавершенного строительства, машино-мест, расположенных на территории Тамбовской области"
(Зарегистрирован 15.01.2026 № 7)
Номер опубликования: 6801202601190008
Дата опубликования:
19.01.2026
