Официальное опубликование правовых актов
ОФИЦИАЛЬНОЕ ОПУБЛИКОВАНИЕ
Приказ Министерства имущественных отношений и государственного заказа Тамбовской области от 30.01.2026 № 36
"О внесении изменений в приказ комитета по управлению имуществом Тамбовской области от 25.04.2022 № 182 "Об изменении охранной зоны сети газораспределения и наложении ограничений (обременений) на входящие в нее земельные участки"
(Зарегистрирован 30.01.2026 № 36)
Номер опубликования: 6801202602030006
Дата опубликования: 03.02.2026
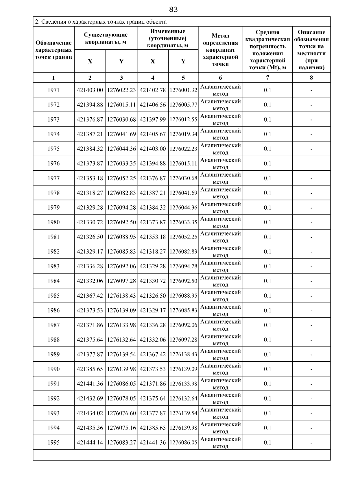
Страница №85 из 192:
Увеличить