Официальное опубликование правовых актов
ОФИЦИАЛЬНОЕ ОПУБЛИКОВАНИЕ
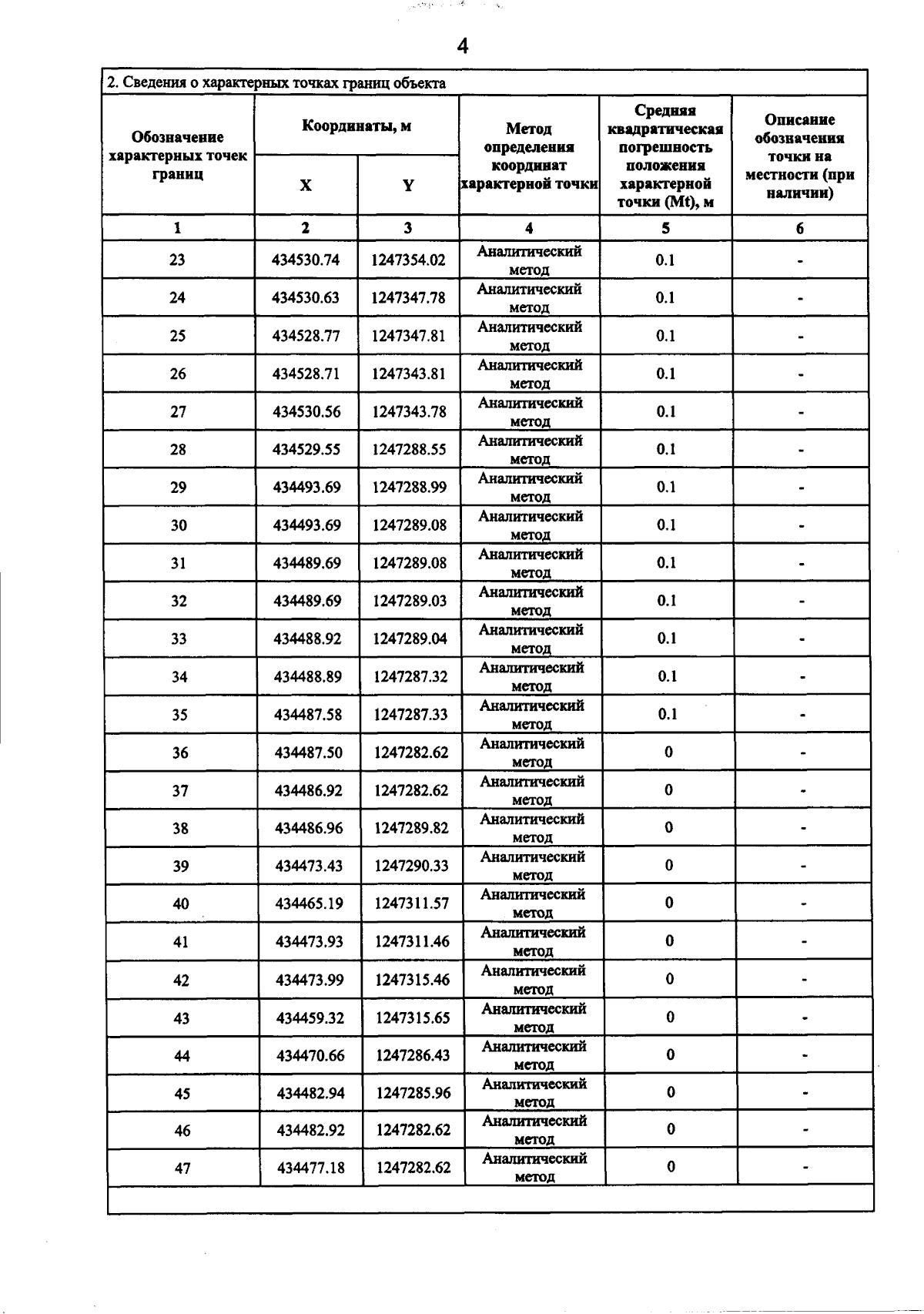
Приказ Министерства имущественных отношений и государственного заказа Тамбовской области от 12.02.2026 № 54
"Об установлении охранной зоны сети газоснабжения и наложении ограничений (обременений) на входящие в нее земельные участки"
(Зарегистрирован 12.02.2026 № 54)
Номер опубликования: 6801202602170003
Дата опубликования: 17.02.2026
Страница №6 из 11:
Увеличить