Официальное опубликование правовых актов
ОФИЦИАЛЬНОЕ ОПУБЛИКОВАНИЕ
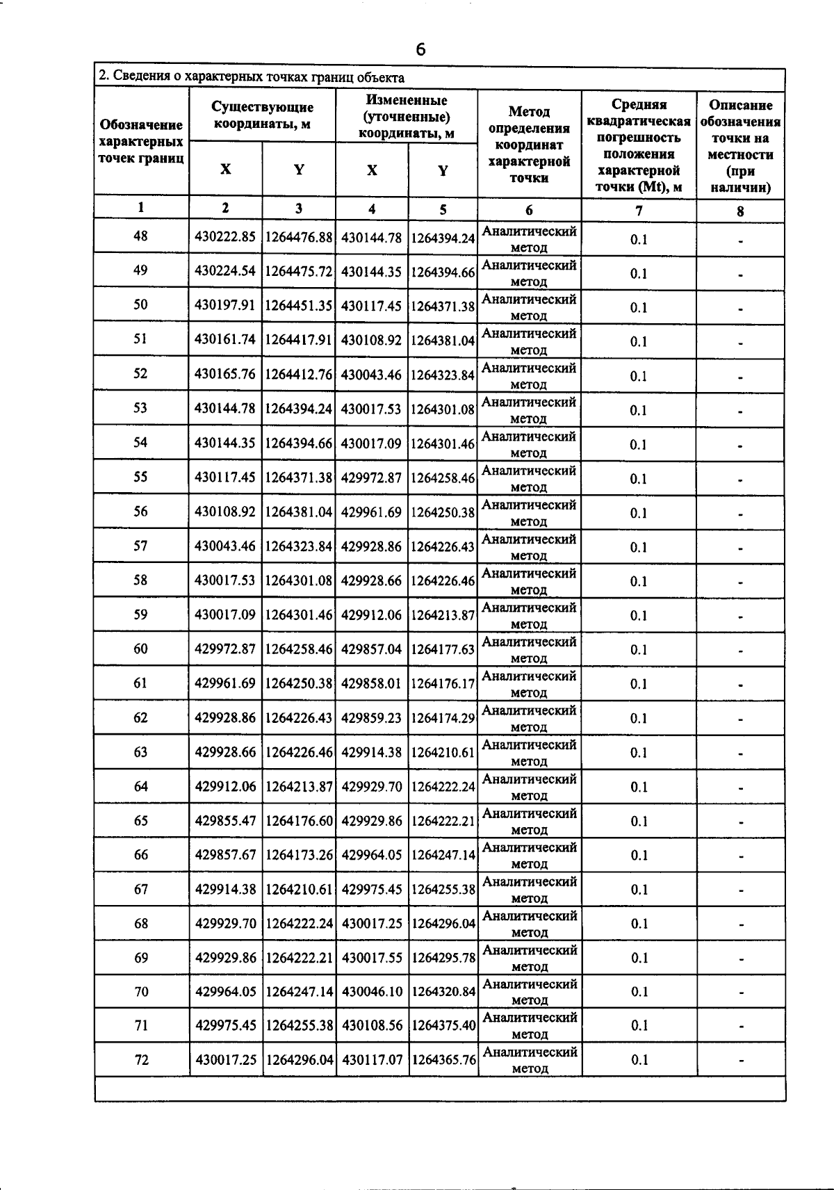
Приказ Министерства имущественных отношений и государственного заказа Тамбовской области от 05.03.2026 № 104
"Об изменении охранной зоны газопровода и наложении ограничений (обременений) на входящие в нее земельные участки"
(Зарегистрирован 05.03.2026 № 104)
Номер опубликования: 6801202603110001
Дата опубликования: 11.03.2026
Страница №8 из 16:
Увеличить