Официальное опубликование правовых актов
ОФИЦИАЛЬНОЕ ОПУБЛИКОВАНИЕ
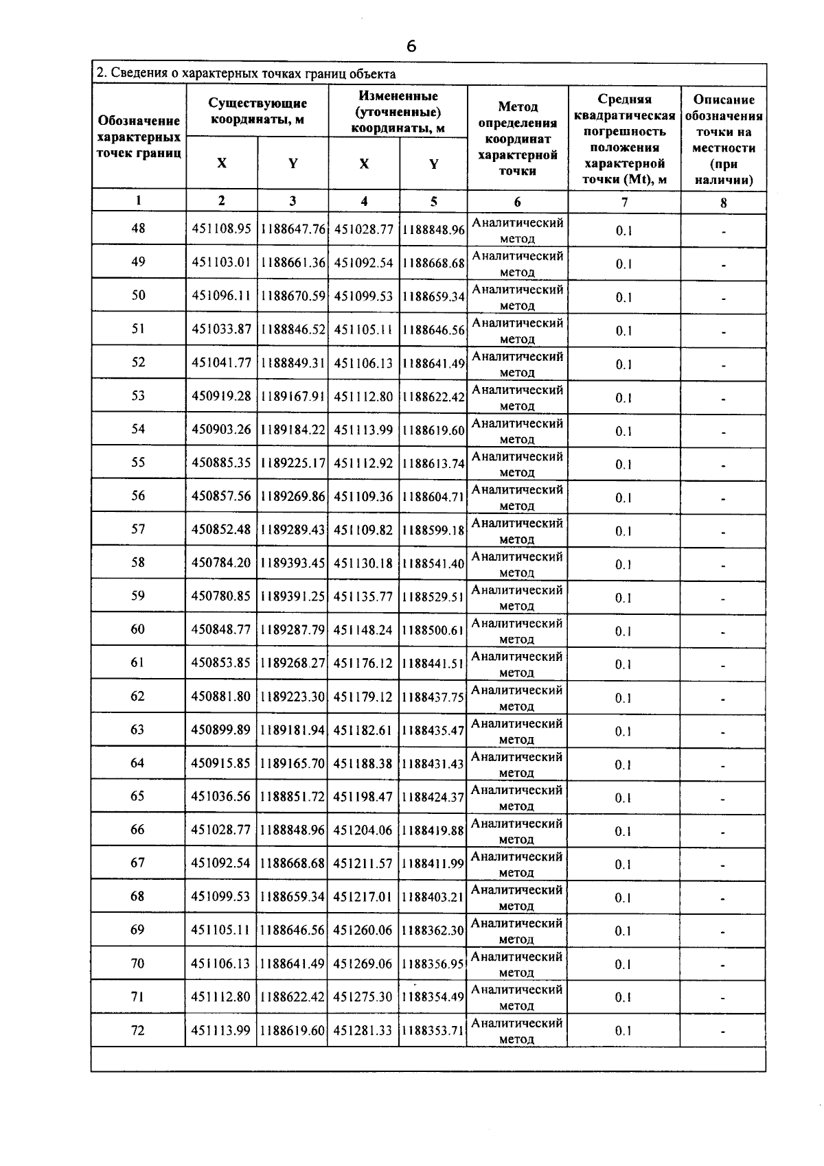
Приказ Министерства имущественных отношений и государственного заказа Тамбовской области от 05.03.2026 № 105
"Об изменении охранной зоны газопровода и наложении ограничений (обременений) на входящие в нее земельные участки"
(Зарегистрирован 05.03.2026 № 105)
Номер опубликования: 6801202603110002
Дата опубликования: 11.03.2026
Страница №8 из 15:
Увеличить