Официальное опубликование правовых актов
ОФИЦИАЛЬНОЕ ОПУБЛИКОВАНИЕ
Приказ Министерства имущественных отношений и государственного заказа Тамбовской области от 18.03.2026 № 123
"Об установлении охранных зон газопроводов и наложении ограничений (обременений) на входящие в них земельные участки"
(Зарегистрирован 18.03.2026 № 123)
Номер опубликования: 6801202603230005
Дата опубликования: 23.03.2026
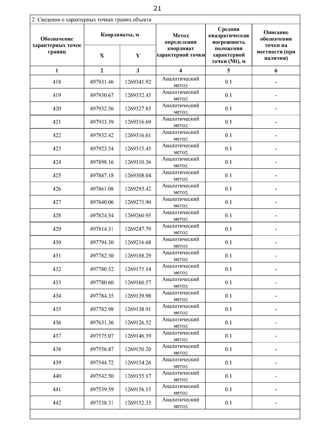
Страница №157 из 164:
Увеличить