Официальное опубликование правовых актов
ОФИЦИАЛЬНОЕ ОПУБЛИКОВАНИЕ
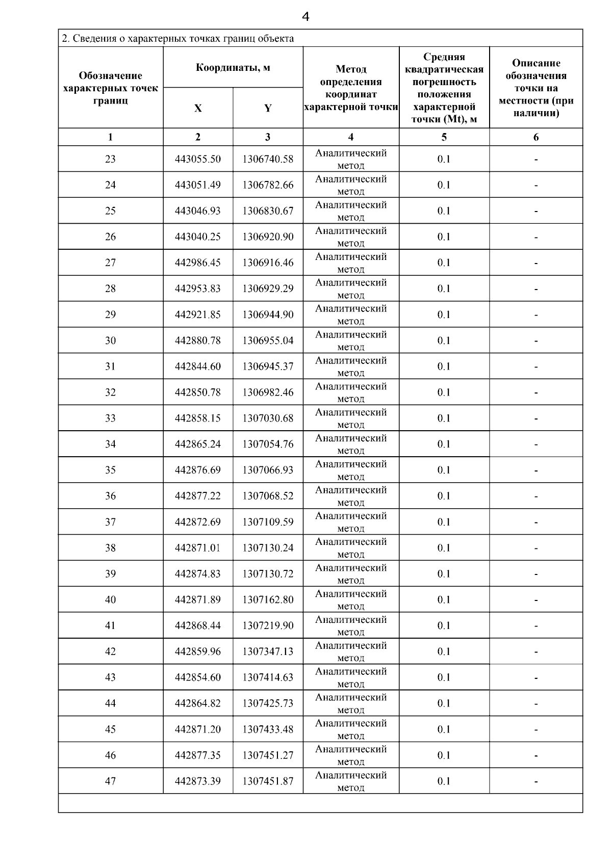
Приказ Министерства имущественных отношений и государственного заказа Тамбовской области от 02.04.2026 № 174
"Об установлении охранных зон сетей газораспределения и наложении ограничений (обременений) на входящие в них земельные участки"
(Зарегистрирован 02.04.2026 № 174)
Номер опубликования: 6801202604090002
Дата опубликования: 09.04.2026
Страница №7 из 95:
Увеличить