Официальное опубликование правовых актов
ОФИЦИАЛЬНОЕ ОПУБЛИКОВАНИЕ
Приказ Министерства имущественных отношений и государственного заказа Тамбовской области от 10.04.2026 № 194
"О внесении изменений в приложение к приказу комитета по управлению имуществом Тамбовской области от 11.08.2021 № 573 "Об изменении охранной зоны сети газораспределения и наложении ограничений (обременений) на входящие в нее земельные участки"
(Зарегистрирован 10.04.2026 № 194)
Номер опубликования: 6801202604150001
Дата опубликования: 15.04.2026
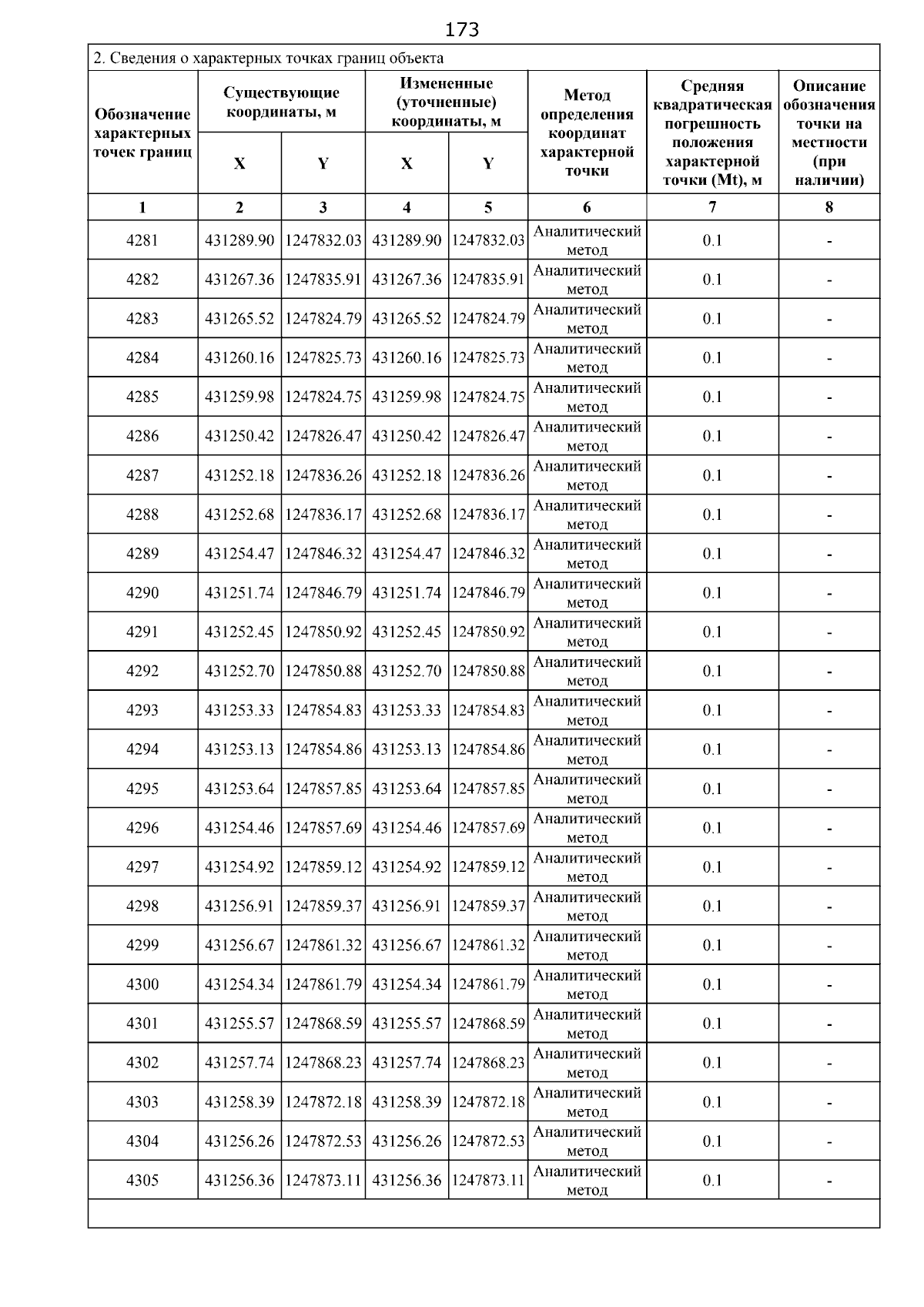
Страница №175 из 184:
Увеличить