Официальное опубликование правовых актов
ОФИЦИАЛЬНОЕ ОПУБЛИКОВАНИЕ
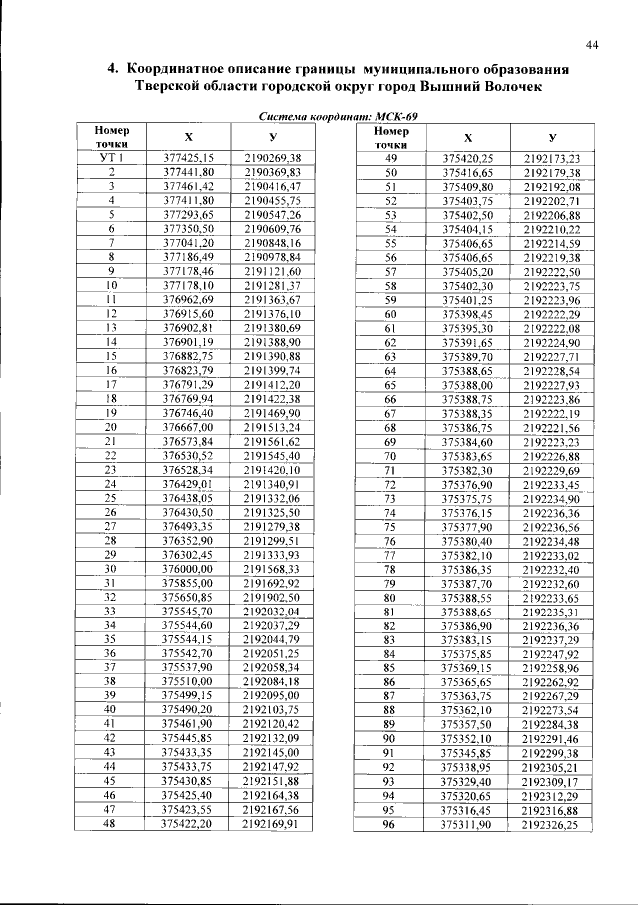
Закон Тверской области от 30.12.2014 № 126-ЗО
"О внесении изменений в закон Тверской области "Об установлении границ муниципальных образований Тверской области и наделении их статусом городских округов, муниципальных районов"
Номер опубликования: 6900201501080001
Дата опубликования: 08.01.2015
Страница №46 из 1519:
Увеличить