Официальное опубликование правовых актов
ОФИЦИАЛЬНОЕ ОПУБЛИКОВАНИЕ
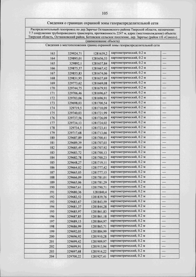
Постановление Правительства Тверской области от 27.10.2016 № 331-пп
"Об установлении охранных зон газораспределительных сетей"
Номер опубликования: 6900201611020050
Дата опубликования: 02.11.2016
Страница №105 из 207:
Увеличить