Официальное опубликование правовых актов
ОФИЦИАЛЬНОЕ ОПУБЛИКОВАНИЕ
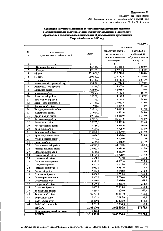
Закон Тверской области от 29.12.2016 № 105-ЗО
"Об областном бюджете Тверской области на 2017 год и на плановый период 2018 и 2019 годов"
Номер опубликования: 6900201612300044
Дата опубликования: 30.12.2016
Страница №443 из 477:
Увеличить