Официальное опубликование правовых актов
ОФИЦИАЛЬНОЕ ОПУБЛИКОВАНИЕ
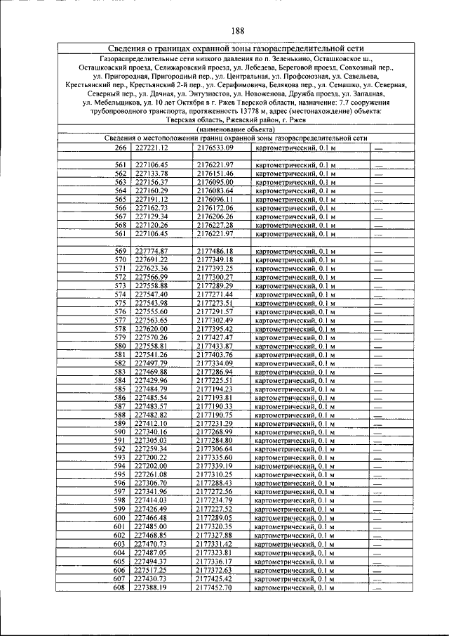
Постановление Правительства Тверской области от 06.05.2017 № 127-пп
"Об установлении охранных зон газораспределительных сетей"
Номер опубликования: 6900201705110015
Дата опубликования: 11.05.2017
Страница №188 из 219:
Увеличить