Официальное опубликование правовых актов
ОФИЦИАЛЬНОЕ ОПУБЛИКОВАНИЕ
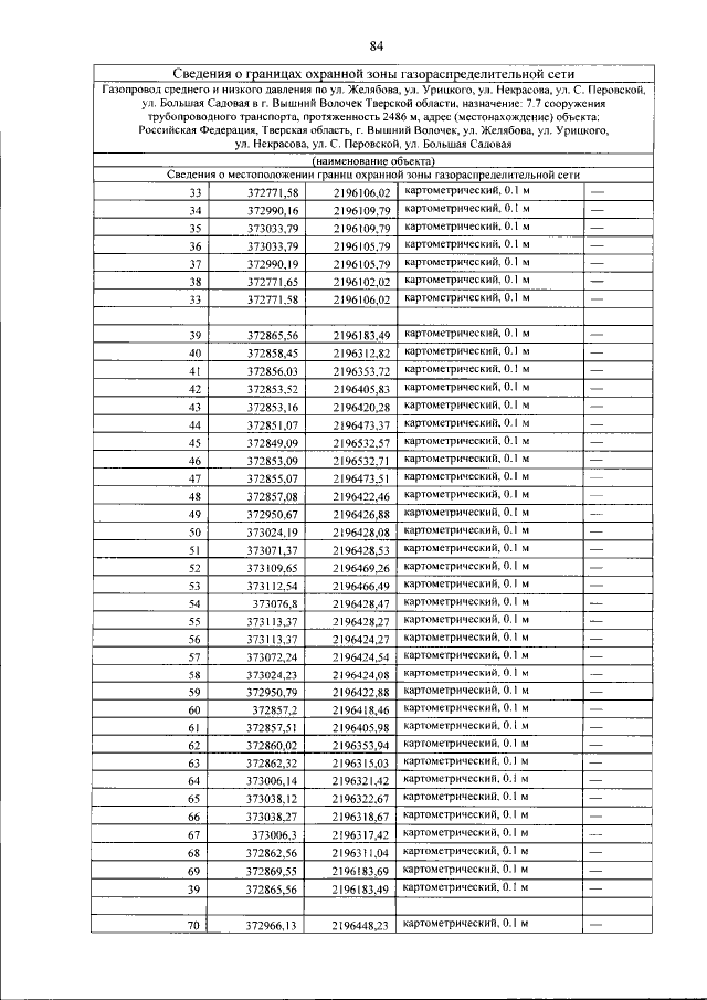
Постановление Правительства Тверской области от 18.08.2017 № 256-пп
"Об установлении охранных зон газораспределительных сетей"
Номер опубликования: 6900201708220021
Дата опубликования: 22.08.2017
Страница №84 из 224:
Увеличить