Официальное опубликование правовых актов
ОФИЦИАЛЬНОЕ ОПУБЛИКОВАНИЕ
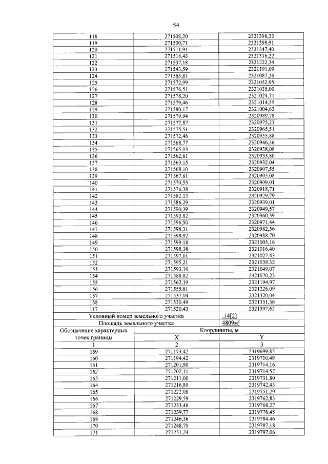
Распоряжение Правительства Тверской области от 29.12.2022 № 1483-рп
"Об утверждении документации по планировке территории линейного объекта "Реконструкция автомобильной дороги общего пользования "д. Юрятино – д. Осиновка"
Номер опубликования: 6900202212310027
Дата опубликования: 31.12.2022
Страница №54 из 76:
Увеличить