Официальное опубликование правовых актов
ОФИЦИАЛЬНОЕ ОПУБЛИКОВАНИЕ
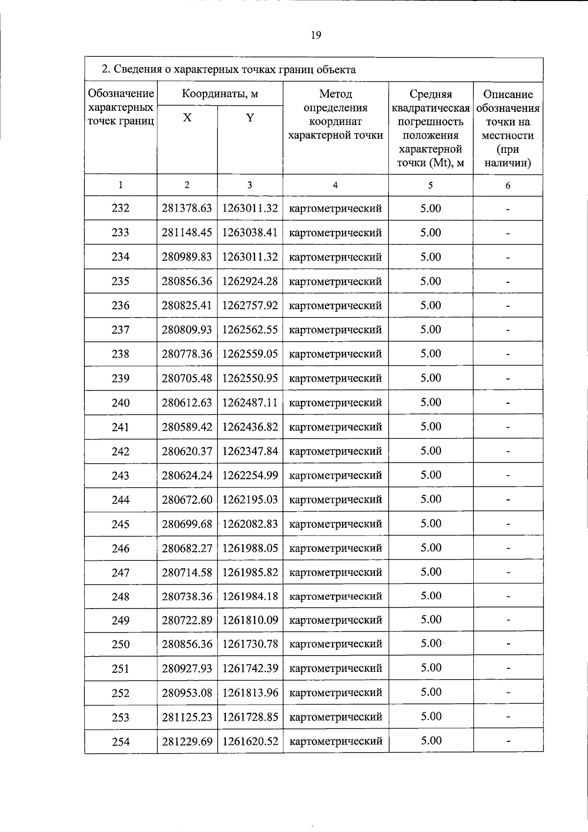
Постановление Правительства Тверской области от 22.12.2023 № 626-пп
"Об особо охраняемых природных территориях регионального значения"
Номер опубликования: 6900202312250050
Дата опубликования: 25.12.2023
Страница №19 из 50:
Увеличить