Официальное опубликование правовых актов
ОФИЦИАЛЬНОЕ ОПУБЛИКОВАНИЕ
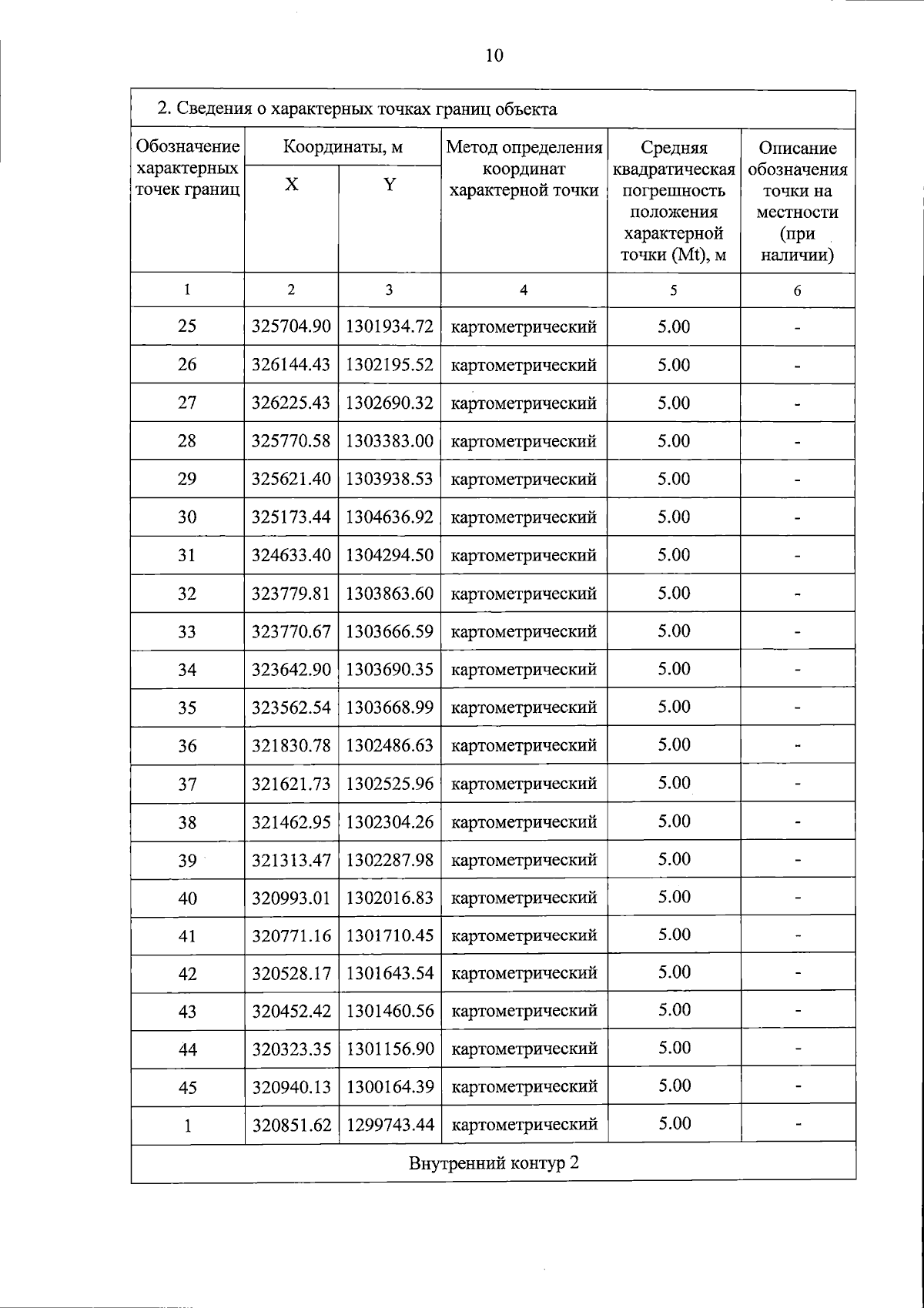
Постановление Правительства Тверской области от 22.12.2023 № 622-пп
"Об особо охраняемой природной территории регионального значения – памятнике природы "Раменская конечно-моренная гряда"
Номер опубликования: 6900202312250055
Дата опубликования: 25.12.2023
Страница №10 из 15:
Увеличить