Официальное опубликование правовых актов
ОФИЦИАЛЬНОЕ ОПУБЛИКОВАНИЕ
Постановление Правительства Тверской области от 01.07.2024 № 297-пп
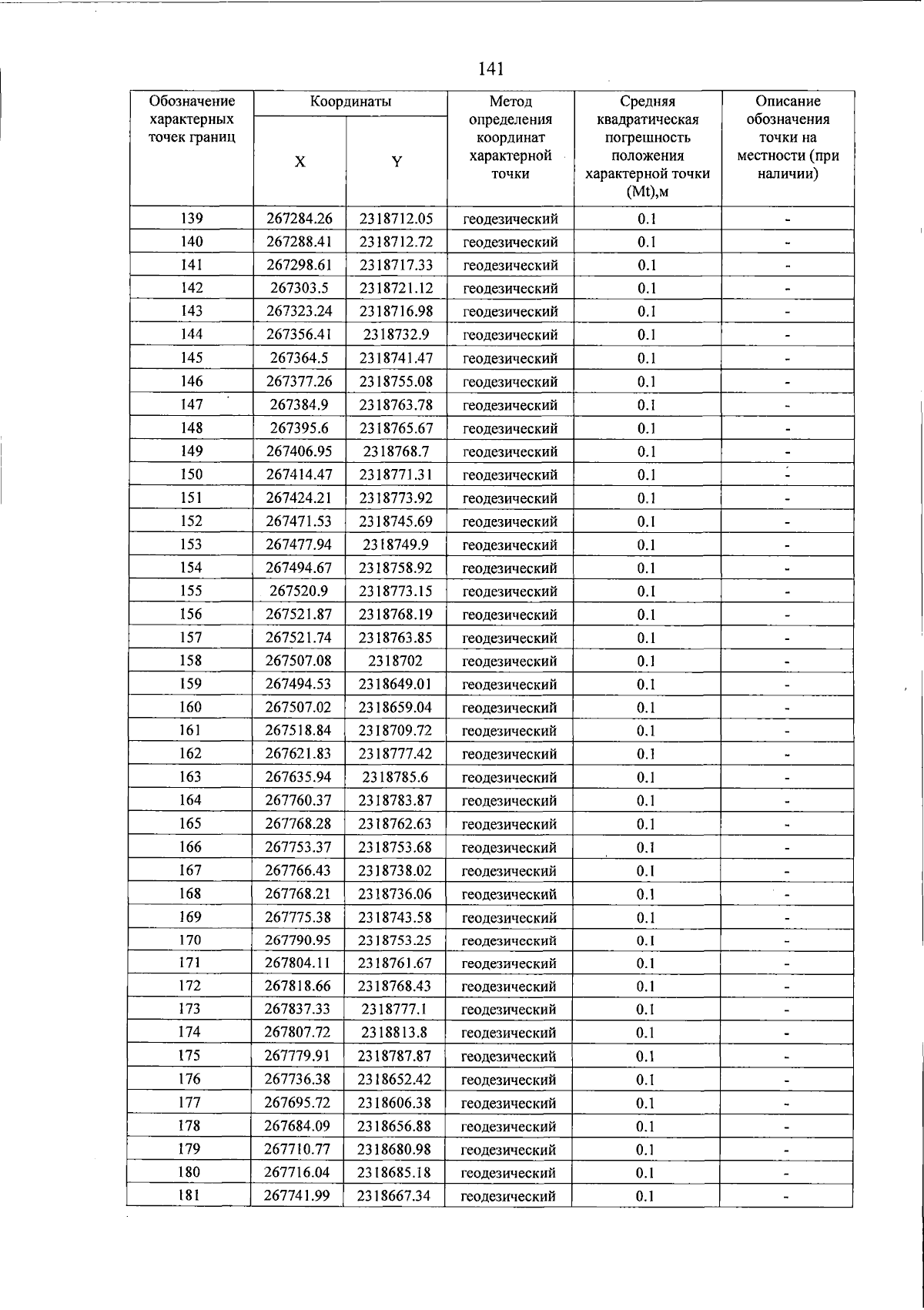
"Об установлении объединенной зоны охраны объектов культурного наследия регионального значения "Церковь Рождества Богородицы с оградой", к. XIX в., 1800 г. и "Дом, в котором родился и жил участник первой русской революции, матрос крейсера "Память Азова" Котихин Д.М.", 1883 – 1900 гг., режимов использования земель и требований к градостроительным регламентам в границах территории данной зоны"
Номер опубликования: 6900202407020001
Дата опубликования: 02.07.2024
Страница №141 из 227:
Увеличить