Официальное опубликование правовых актов
ОФИЦИАЛЬНОЕ ОПУБЛИКОВАНИЕ
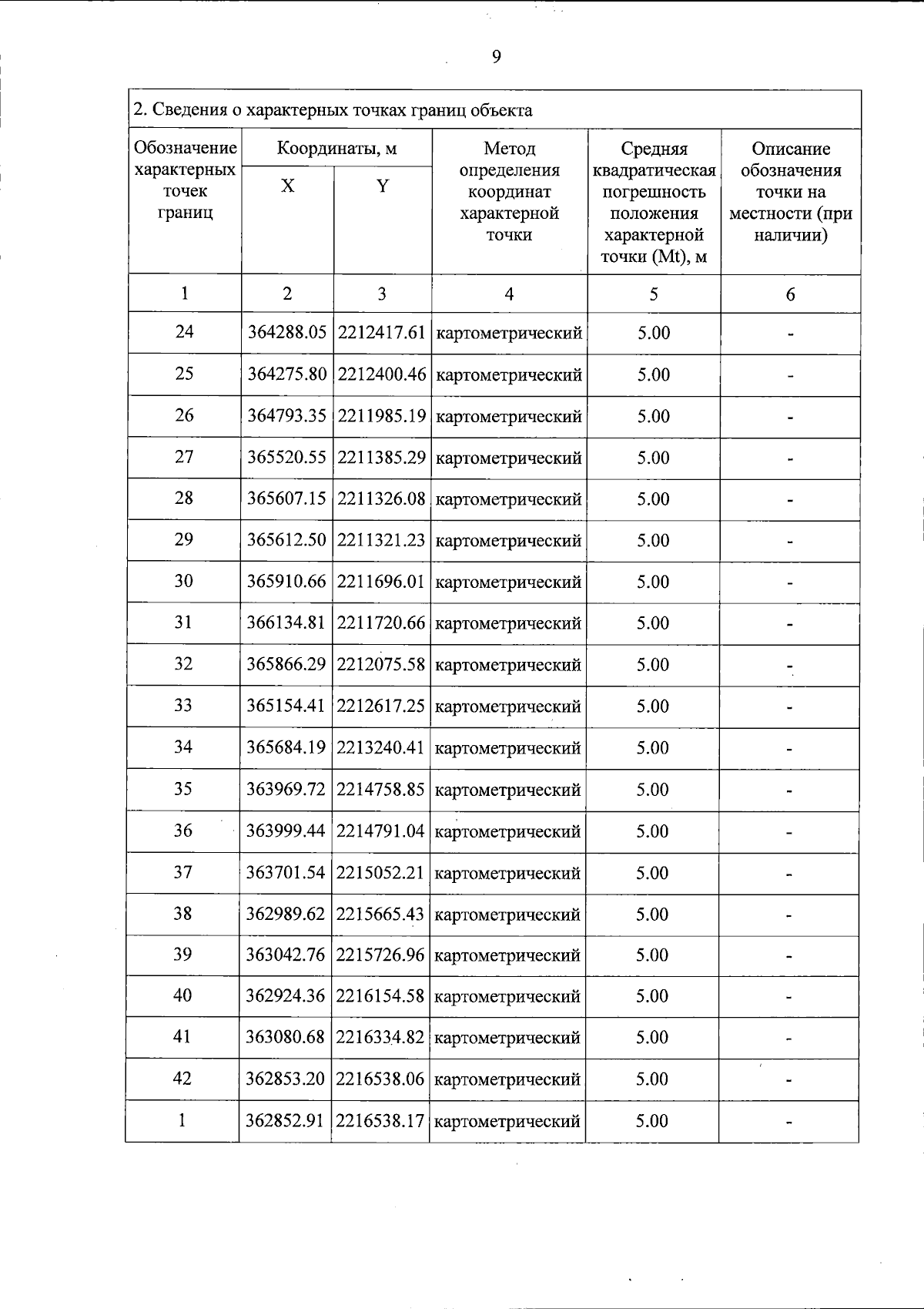
Постановление Правительства Тверской области от 11.07.2024 № 333-пп
"Об особо охраняемой природной территории регионального значения – государственном природном заказнике "Болото Гаврово"
Номер опубликования: 6900202407160025
Дата опубликования: 16.07.2024
Страница №9 из 11:
Увеличить