Официальное опубликование правовых актов
ОФИЦИАЛЬНОЕ ОПУБЛИКОВАНИЕ
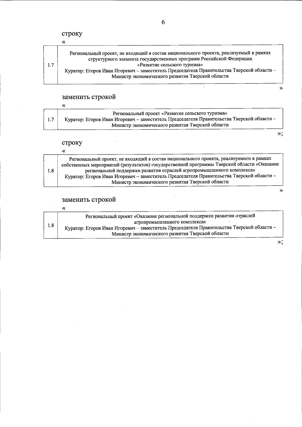
Постановление Правительства Тверской области от 11.11.2024 № 499-пп
"О внесении изменений в постановление Правительства Тверской области от 21.02.2024 № 63-пп"
Номер опубликования: 6900202411130004
Дата опубликования: 13.11.2024
Страница №6 из 34:
Увеличить