Официальное опубликование правовых актов
ОФИЦИАЛЬНОЕ ОПУБЛИКОВАНИЕ
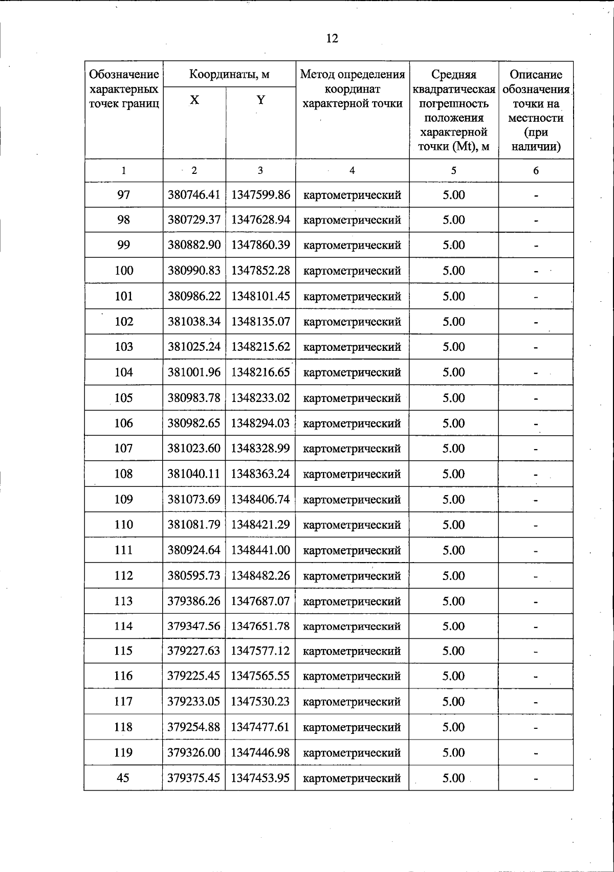
Постановление Правительства Тверской области от 25.12.2024 № 639-пп
"Об особо охраняемой природной территории регионального значения – памятнике природы "Лес по реке Крупица"
Номер опубликования: 6900202412260002
Дата опубликования: 26.12.2024
Страница №12 из 14:
Увеличить