Официальное опубликование правовых актов
ОФИЦИАЛЬНОЕ ОПУБЛИКОВАНИЕ
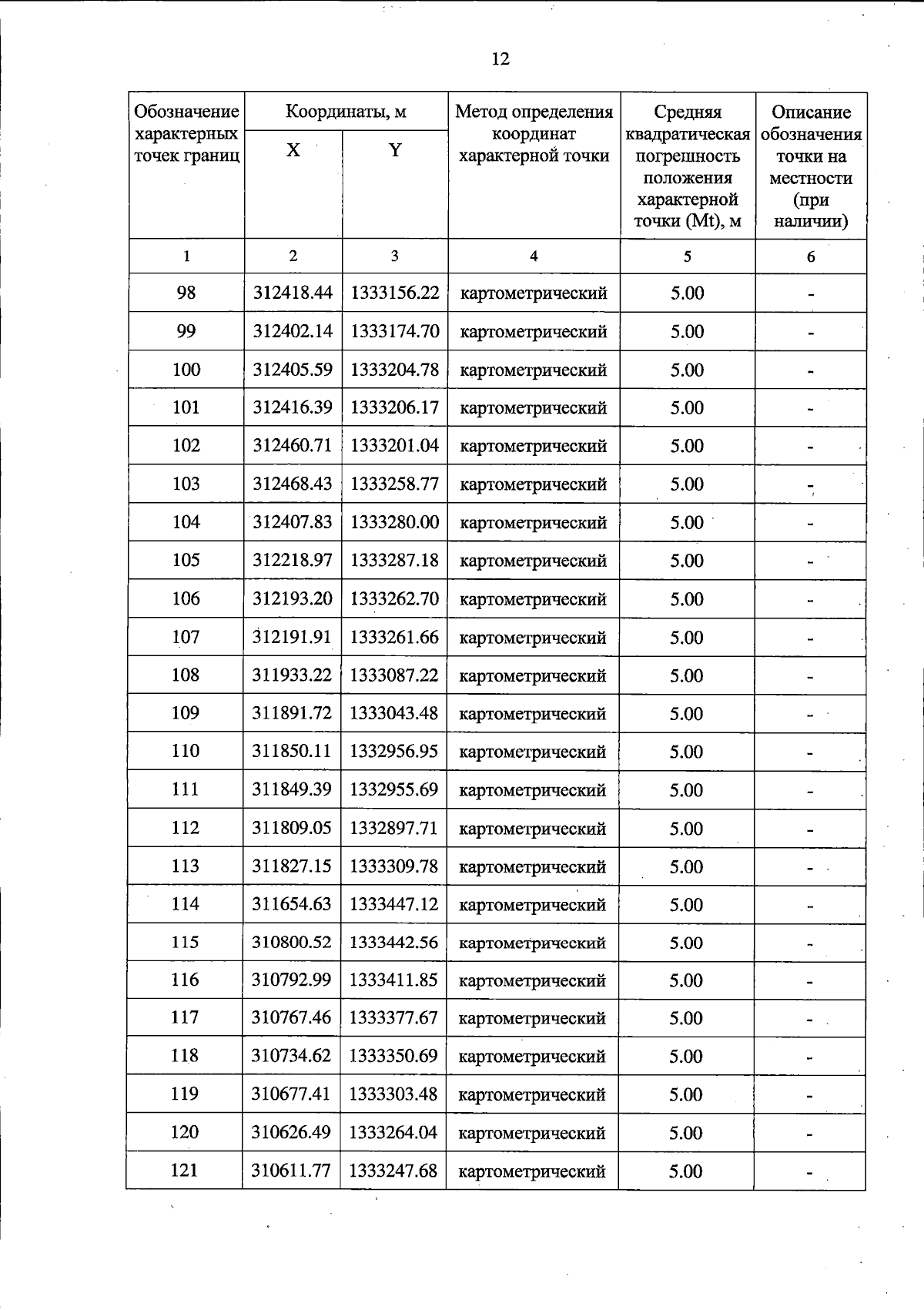
Постановление Правительства Тверской области от 25.12.2024 № 655-пп
"Об особо охраняемой природной территории регионального значения – государственном природном заказнике "Болото Мясковский Мох"
Номер опубликования: 6900202412280015
Дата опубликования: 28.12.2024
Страница №12 из 15:
Увеличить