Официальное опубликование правовых актов
ОФИЦИАЛЬНОЕ ОПУБЛИКОВАНИЕ
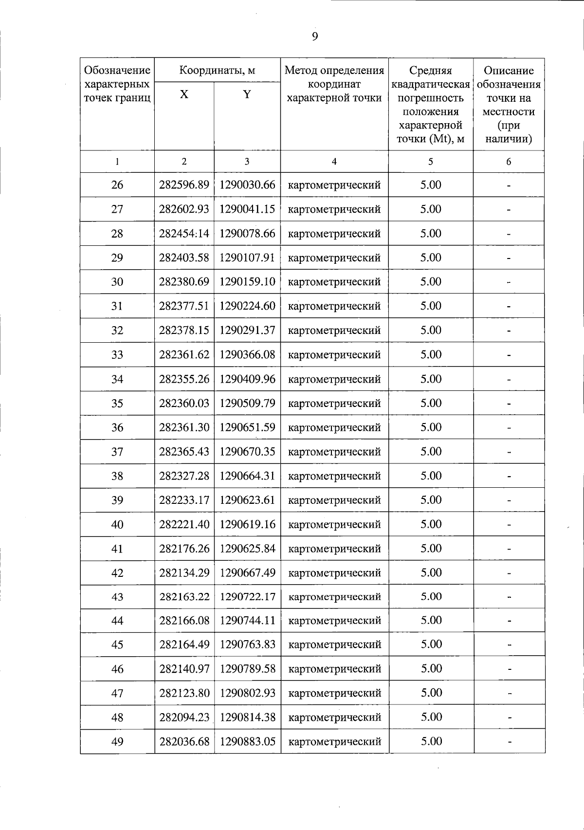
Постановление Правительства Тверской области от 26.02.2025 № 122-пп
"Об особо охраняемой природной территории регионального значения – государственном природном заказнике "Болото Доровский Мох"
Номер опубликования: 6900202502270024
Дата опубликования: 27.02.2025
Страница №9 из 18:
Увеличить