Официальное опубликование правовых актов
ОФИЦИАЛЬНОЕ ОПУБЛИКОВАНИЕ
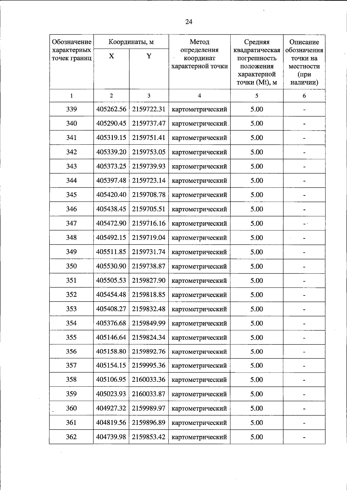
Постановление Правительства Тверской области от 09.07.2025 № 382-пп
"Об особо охраняемой природной территории регионального значения – государственном природном заказнике "Болото Коломинец"
Номер опубликования: 6900202507100002
Дата опубликования: 10.07.2025
Страница №24 из 27:
Увеличить