Официальное опубликование правовых актов
ОФИЦИАЛЬНОЕ ОПУБЛИКОВАНИЕ
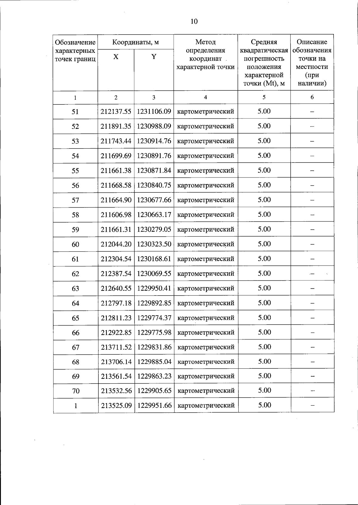
Постановление Правительства Тверской области от 03.10.2025 № 546-пп
"Об утверждении Положения об особо охраняемой природной территории регионального значения – государственном природном заказнике "Болото у д. Сосвятское"
Номер опубликования: 6900202510080018
Дата опубликования: 08.10.2025
Страница №10 из 12:
Увеличить