Официальное опубликование правовых актов
ОФИЦИАЛЬНОЕ ОПУБЛИКОВАНИЕ
Распоряжение Правительства Тверской области от 16.10.2025 № 1892-рп
"Об утверждении документации по планировке территории линейного объекта "Реконструкция ВЛ 110 кВ филиала ПАО "Россети Центр" – "Тверьэнерго" в рамках реализации проекта "Создание высокоскоростной железнодорожной магистрали Санкт-Петербург – Москва (участок Крюково (Алабушево) – (Обухово)". 5 этап – строительство участка Логовежь ВСМ (вкл.) – Новая Тверь ВСМ (искл.) ПК 4636+24.16 ВЛ 110 кВ Калининская – КС-20 1, 2 цепи с отпайкой на ПС Медновский водозабор"
Номер опубликования: 6900202510200002
Дата опубликования: 20.10.2025
Страница №33 из 49:
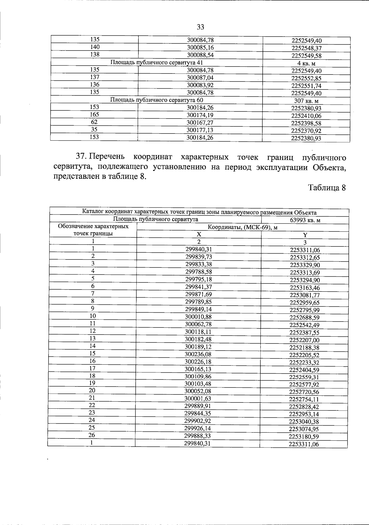
Увеличить