Официальное опубликование правовых актов
ОФИЦИАЛЬНОЕ ОПУБЛИКОВАНИЕ
Распоряжение Правительства Тверской области от 16.10.2025 № 1893-рп
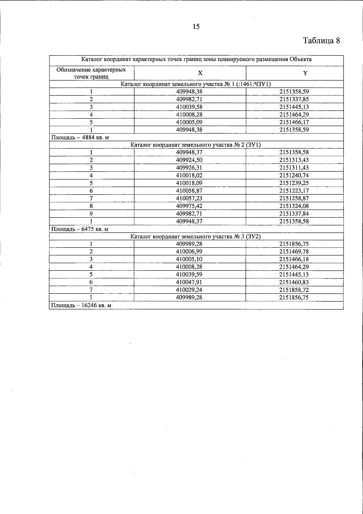
"Об утверждении документации по планировке территории линейного объекта "Реконструкция ВЛ 110 кВ филиала ПАО "Россети Центр" – "Тверьэнерго" в рамках реализации проекта "Создание высокоскоростной железнодорожной магистрали Санкт-Петербург – Москва (участок Крюково (Алабушево) – (Обухово)". 3 этап – Строительство участка Окуловка ВСМ (вкл.) – Выползово ВСМ (вкл.) ПК 3279+25,61. ВЛ 110 кВ Бологое – Выползово 1 цепь"
Номер опубликования: 6900202510200003
Дата опубликования: 20.10.2025
Страница №15 из 23:
Увеличить