Официальное опубликование правовых актов
ОФИЦИАЛЬНОЕ ОПУБЛИКОВАНИЕ
Закон Тверской области от 08.12.2025 № 65-ЗО
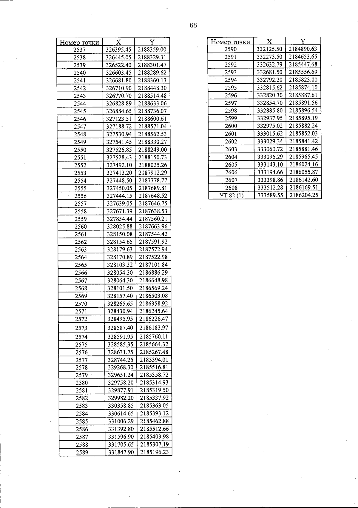
"О преобразовании муниципальных образований Тверской области путем объединения Торжокского муниципального округа Тверской области и городского округа город Торжок Тверской области и создании вновь образованного муниципального образования с наделением его статусом муниципального округа и внесении изменений в отдельные законы Тверской области"
Номер опубликования: 6900202512100005
Дата опубликования: 10.12.2025
Страница №68 из 69:
Увеличить