Официальное опубликование правовых актов
ОФИЦИАЛЬНОЕ ОПУБЛИКОВАНИЕ
Распоряжение Правительства Тверской области от 13.01.2026 № 2-рп
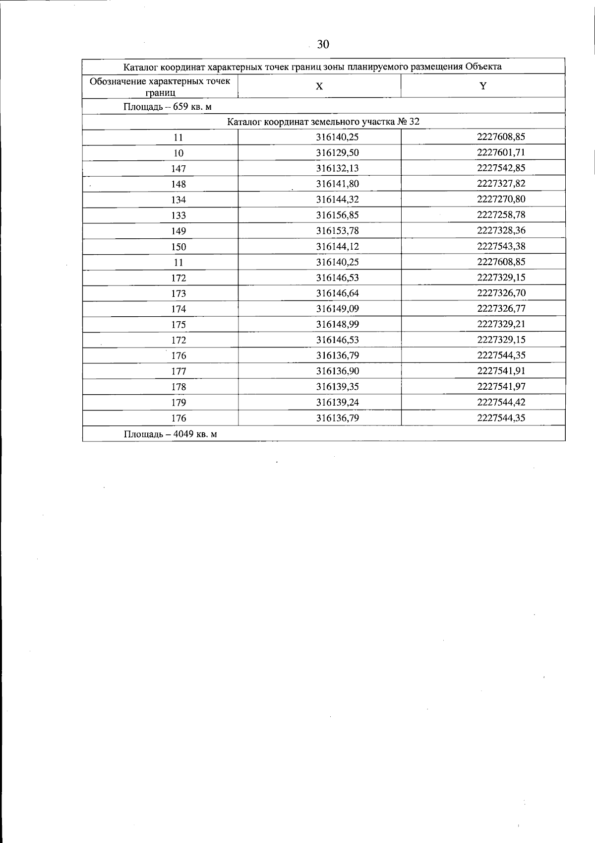
"Об утверждении документации по планировке территории линейного объекта "Реконструкция ВЛ 110 кВ филиала ПАО "Россети Центр" – "Тверьэнерго" в рамках реализации проекта "Создание высокоскоростной железнодорожной магистрали Санкт-Петербург – Москва (участок Крюково (Алабушево) – (Обухово)". 5 этап – Строительство участка Логовежь ВСМ (вкл.) – Новая Тверь ВСМ (искл.) ПК 4330+09. ВЛ 110 кВ Лихославль – Торжок 1, 2 цепи"
Номер опубликования: 6900202601130003
Дата опубликования: 13.01.2026
Страница №30 из 30:
Увеличить