Официальное опубликование правовых актов
ОФИЦИАЛЬНОЕ ОПУБЛИКОВАНИЕ
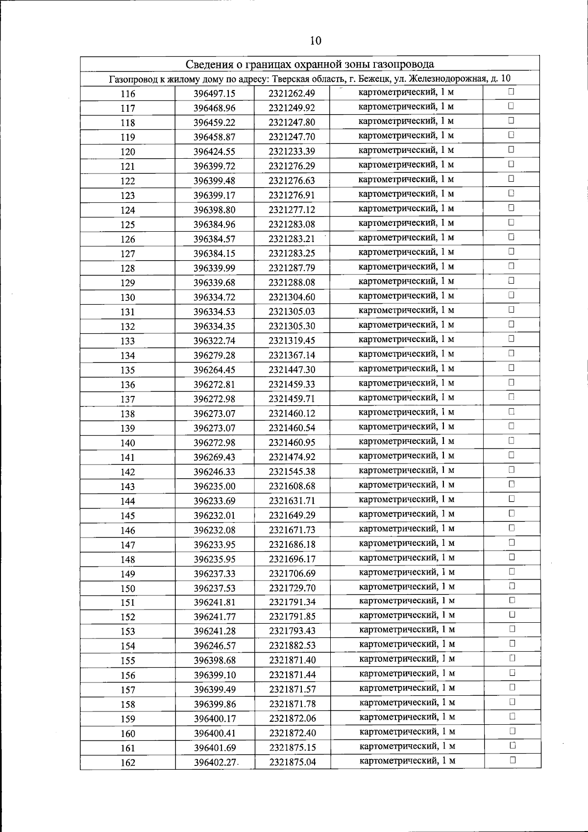
Постановление Правительства Тверской области от 03.02.2026 № 34-пп
"Об установлении охранных зон газопроводов"
Номер опубликования: 6900202602040003
Дата опубликования: 04.02.2026
Страница №10 из 75:
Увеличить