Официальное опубликование правовых актов
ОФИЦИАЛЬНОЕ ОПУБЛИКОВАНИЕ
Постановление Губернатора Тверской области от 02.04.2026 № 28-пг
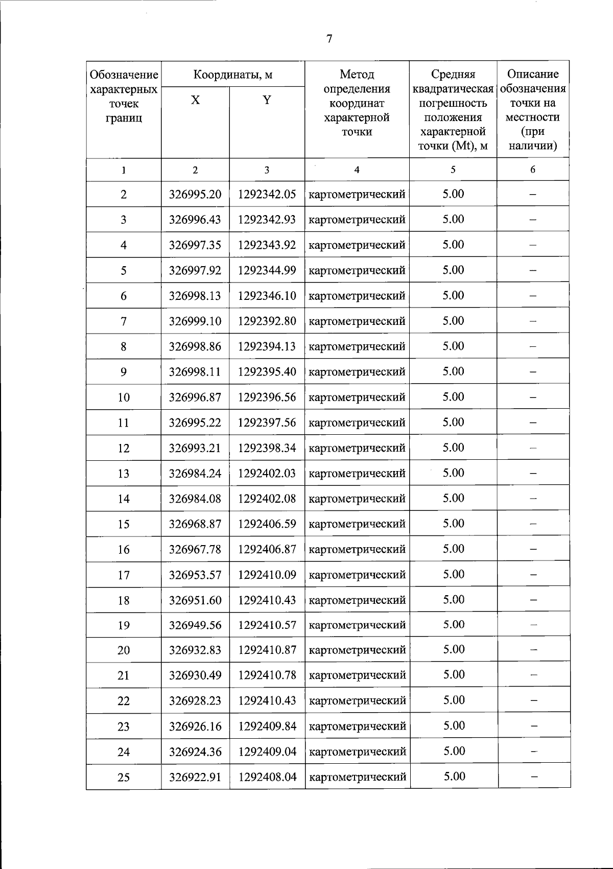
"Об охранной зоне особо охраняемой природной территории регионального значения – памятника природы "Дендропарк Сорога"
Номер опубликования: 6900202604030003
Дата опубликования: 03.04.2026
Страница №7 из 11:
Увеличить