Официальное опубликование правовых актов
ОФИЦИАЛЬНОЕ ОПУБЛИКОВАНИЕ
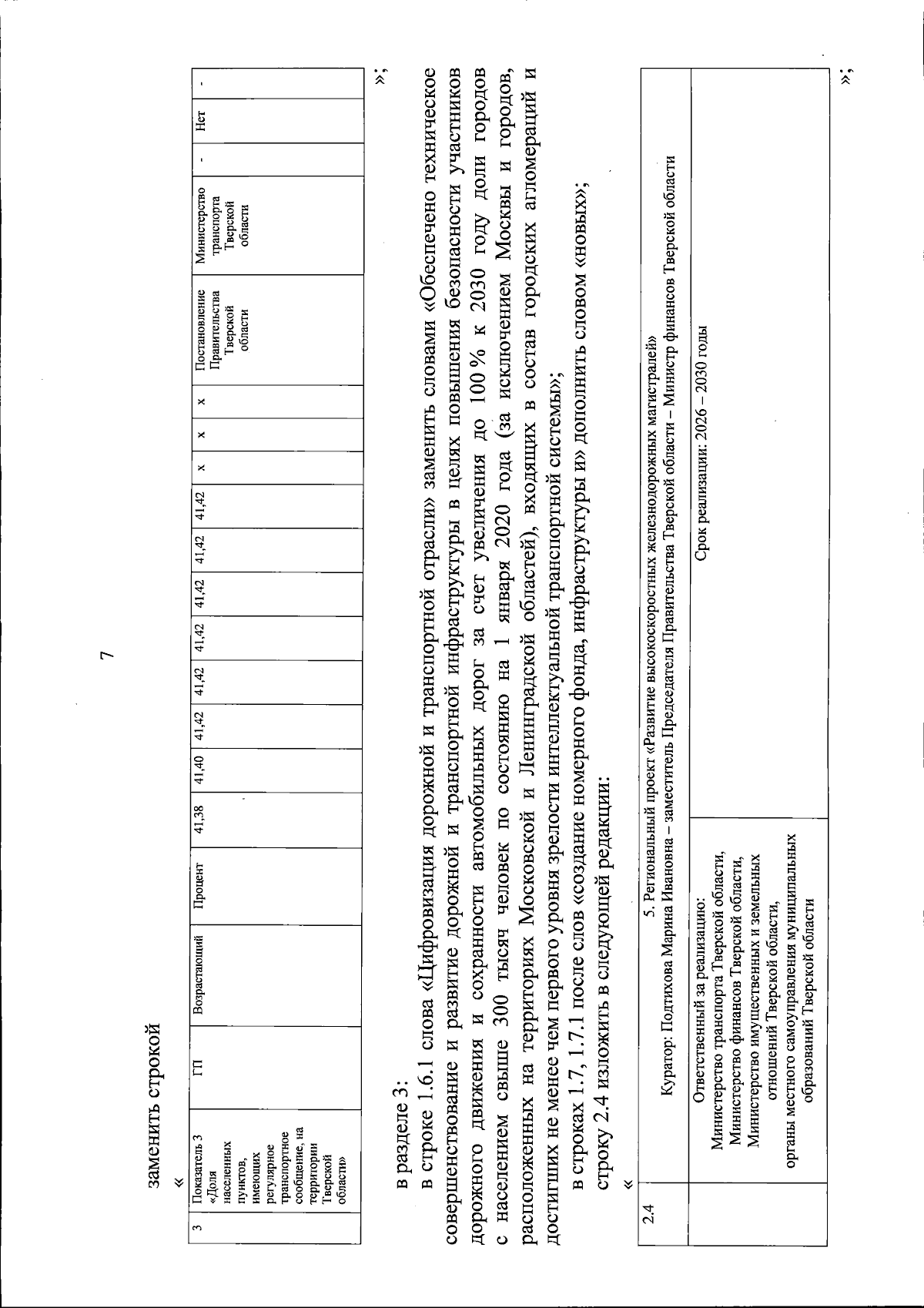
Постановление Правительства Тверской области от 02.04.2026 № 185-пп
"О внесении изменений в отдельные постановления Правительства Тверской области"
Номер опубликования: 6900202604030013
Дата опубликования: 03.04.2026
Страница №7 из 72:
Увеличить