Официальное опубликование правовых актов
ОФИЦИАЛЬНОЕ ОПУБЛИКОВАНИЕ
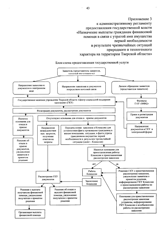
Приказ Министерство социальной защиты населения Тверской области от 01.07.2022 № 111-нп
"Об административном регламенте предоставления государственной услуги "Назначение выплаты гражданам финансовой помощи в связи с утратой ими имущества первой необходимости в результате чрезвычайных ситуаций природного и техногенного характера на территории Тверской области"
Номер опубликования: 6901202207070003
Дата опубликования: 07.07.2022
Страница №43 из 45:
Увеличить