Официальное опубликование правовых актов
ОФИЦИАЛЬНОЕ ОПУБЛИКОВАНИЕ
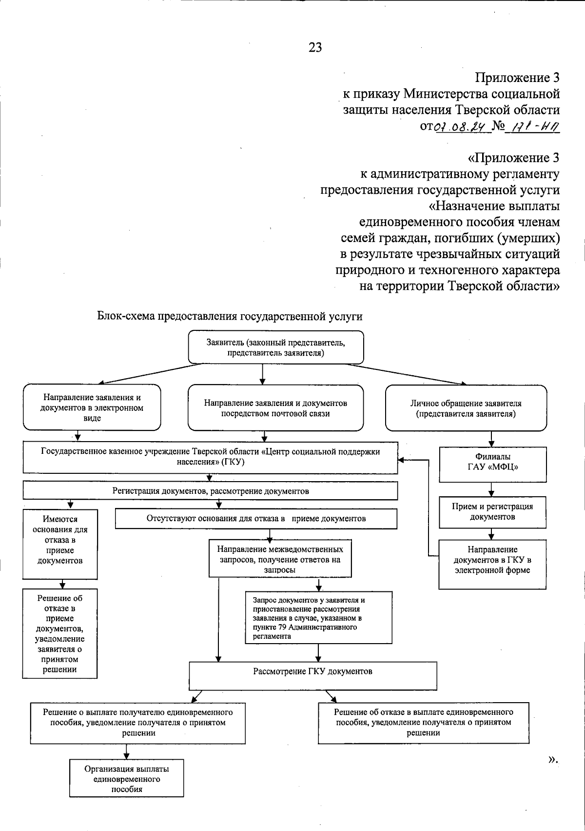
Приказ Министерство социальной защиты населения Тверской области от 07.08.2024 № 171-нп
"О внесении изменений в отдельные приказы Министерства социальной защиты населения Тверской области"
(Зарегистрирован 07.08.2024 № 2102412)
Номер опубликования: 6901202408070003
Дата опубликования: 07.08.2024
Страница №23 из 23:
Увеличить