Официальное опубликование правовых актов
ОФИЦИАЛЬНОЕ ОПУБЛИКОВАНИЕ
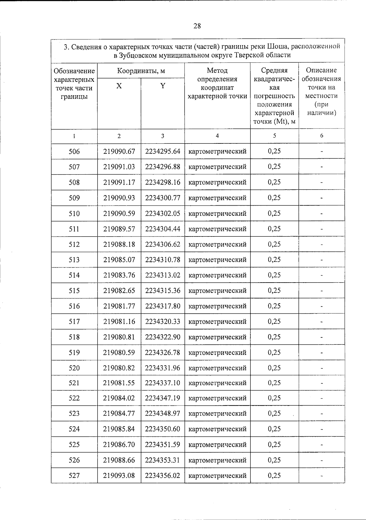
Приказ Министерства природных ресурсов и экологии Тверской области от 24.11.2025 № 35-нп
"Об установлении местоположения части береговой линии"
(Зарегистрирован 25.11.2025 № 3652507)
Номер опубликования: 6901202511250001
Дата опубликования: 25.11.2025
Страница №28 из 35:
Увеличить