Официальное опубликование правовых актов
ОФИЦИАЛЬНОЕ ОПУБЛИКОВАНИЕ
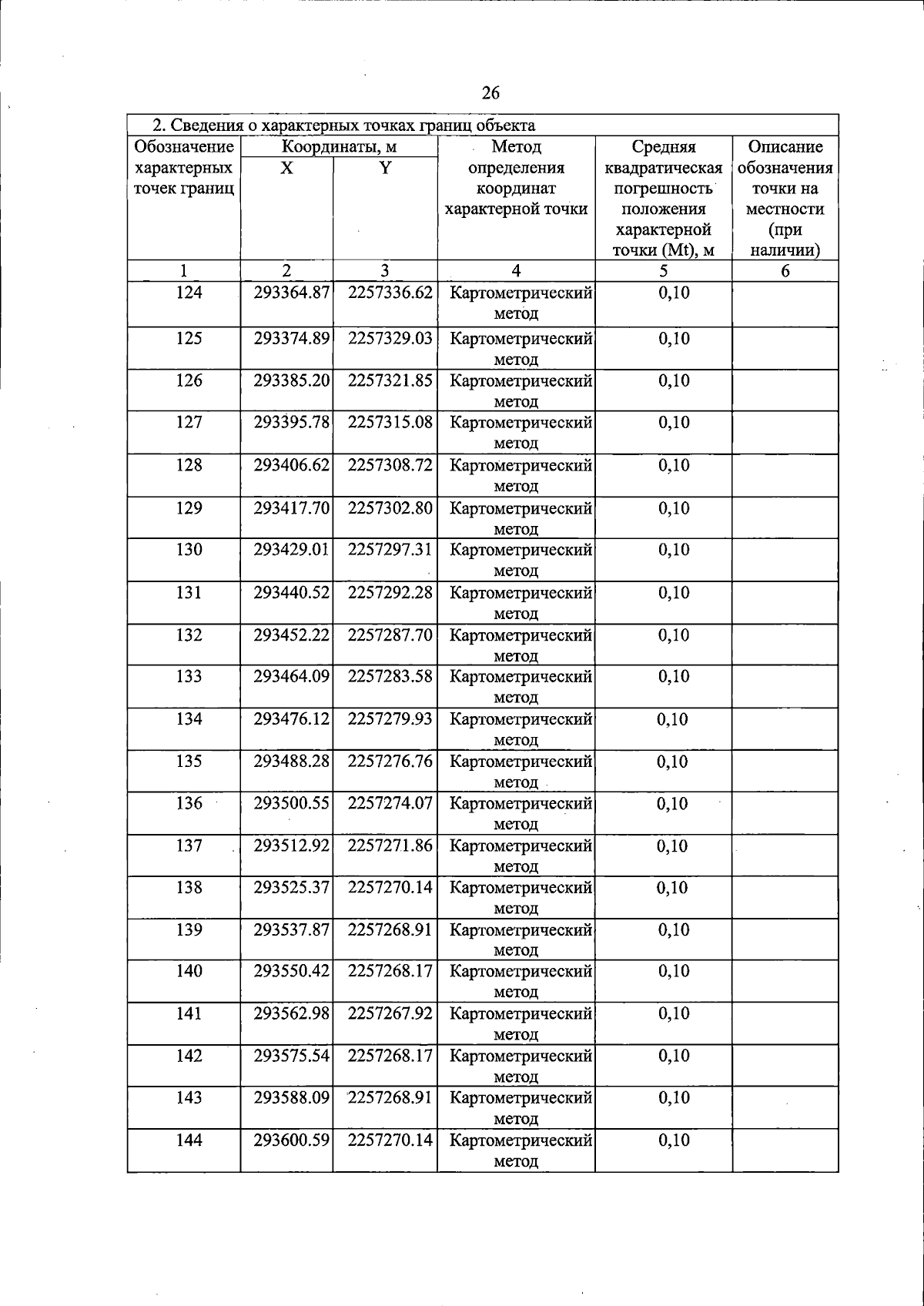
Приказ Министерства природных ресурсов и экологии Тверской области от 08.12.2025 № 40-нп
"Об установлении зоны санитарной охраны"
(Зарегистрирован 09.12.2025 № 4742507)
Номер опубликования: 6901202512100006
Дата опубликования: 10.12.2025
Страница №26 из 29:
Увеличить