Официальное опубликование правовых актов
ОФИЦИАЛЬНОЕ ОПУБЛИКОВАНИЕ
Приказ Министерства природных ресурсов и экологии Тверской области от 03.02.2026 № 4-нп
"Об установлении местоположения части береговой линии"
(Зарегистрирован 04.02.2026 № 0722607)
Номер опубликования: 6901202602040002
Дата опубликования: 04.02.2026
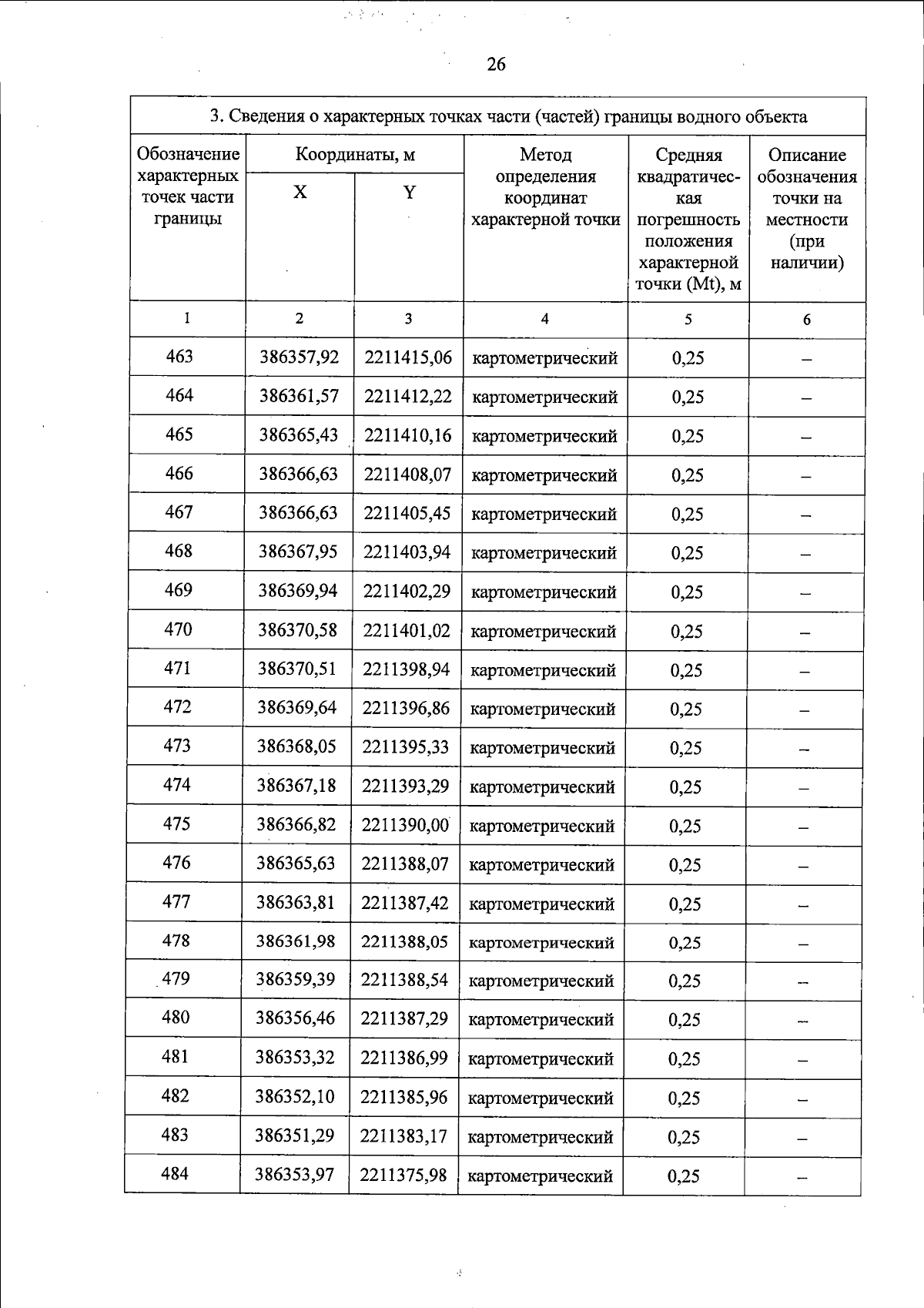
Страница №26 из 33:
Увеличить