Официальное опубликование правовых актов
ОФИЦИАЛЬНОЕ ОПУБЛИКОВАНИЕ
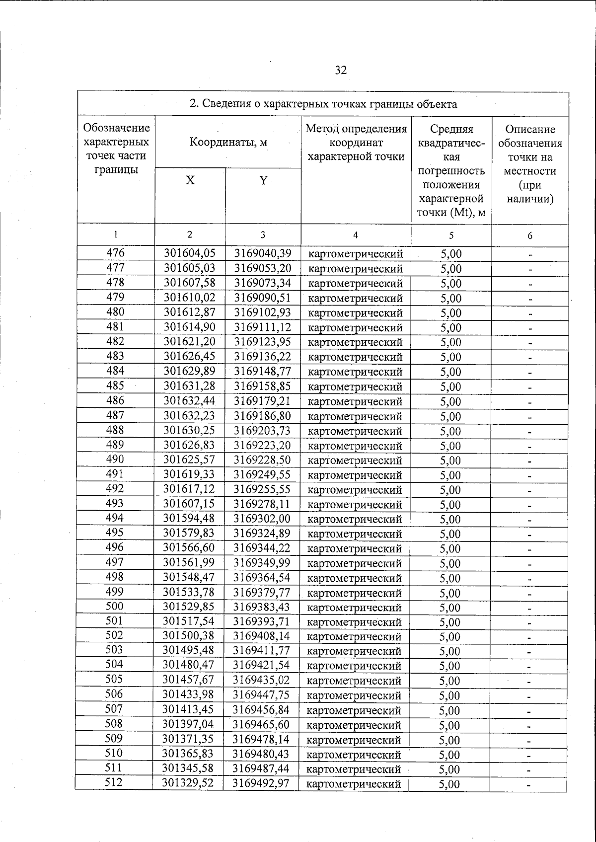
Приказ Министерства природных ресурсов и экологии Тверской области от 13.04.2026 № 11-нп
"Об установлении местоположения береговой линии (границы водного объекта), границ водоохранной зоны и прибрежной защитной полосы"
(Зарегистрирован 14.04.2026 № 2232607)
Номер опубликования: 6901202604170001
Дата опубликования: 17.04.2026
Страница №32 из 78:
Увеличить