Официальное опубликование правовых актов
ОФИЦИАЛЬНОЕ ОПУБЛИКОВАНИЕ
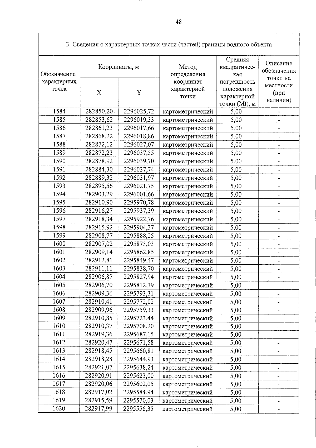
Приказ Министерства природных ресурсов и экологии Тверской области от 13.04.2026 № 10-нп
"Об установлении местоположения части береговой линии (границы водного объекта), границ водоохранной зоны и прибрежной защитной полосы"
(Зарегистрирован 14.04.2026 № 2222607)
Номер опубликования: 6901202604170002
Дата опубликования: 17.04.2026
Страница №48 из 302:
Увеличить