Официальное опубликование правовых актов
ОФИЦИАЛЬНОЕ ОПУБЛИКОВАНИЕ
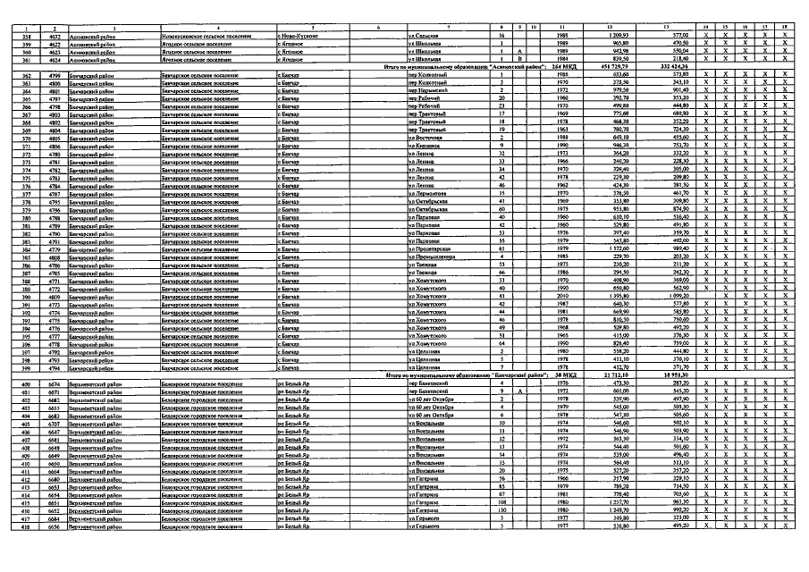
Постановление Администрации Томской области от 04.12.2015 № 441а
"О внесении изменения в постановление Администрации Томской области от 30.12.2013 № 597а"
Номер опубликования: 7000201512090007
Дата опубликования: 09.12.2015
Страница №14 из 109:
Увеличить