Официальное опубликование правовых актов
ОФИЦИАЛЬНОЕ ОПУБЛИКОВАНИЕ
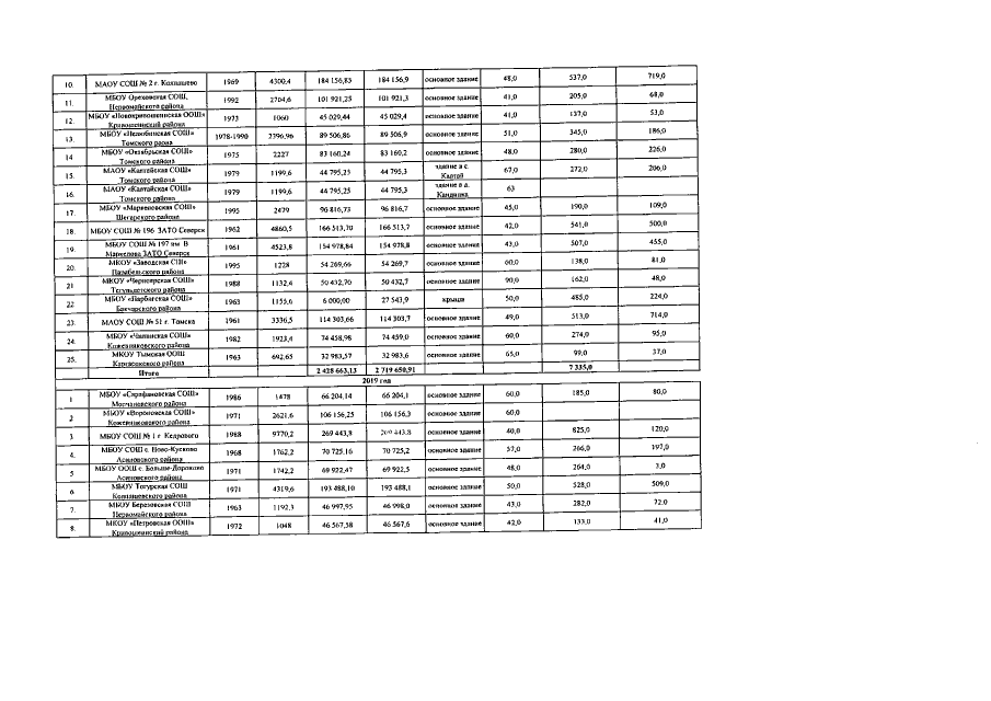
Постановление Администрации Томской области от 21.01.2016 № 20а
"О программе "Содействие созданию в Томской области (исходя из прогнозируемой потребности) новых мест в общеобразовательных организациях" на 2016 – 2025 годы"
Номер опубликования: 7000201601250006
Дата опубликования: 25.01.2016
Страница №20 из 34:
Увеличить