Официальное опубликование правовых актов
ОФИЦИАЛЬНОЕ ОПУБЛИКОВАНИЕ
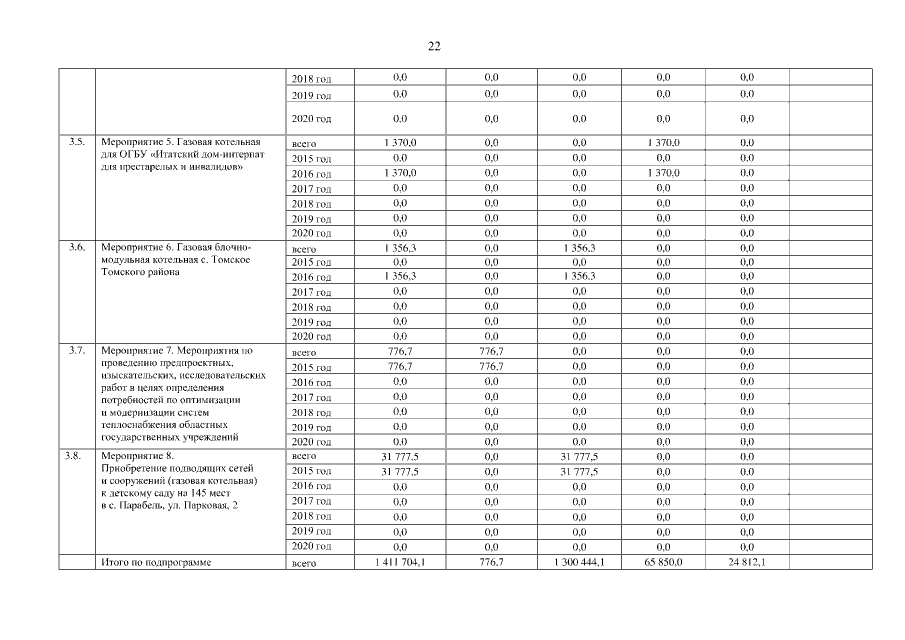
Постановление Администрации Томской области от 04.05.2016 № 150а
"О внесении изменений в постановление Администрации Томской области от 12.12.2014 № 493а"
Номер опубликования: 7000201605060014
Дата опубликования: 06.05.2016
Страница №23 из 203:
Увеличить