Официальное опубликование правовых актов
ОФИЦИАЛЬНОЕ ОПУБЛИКОВАНИЕ
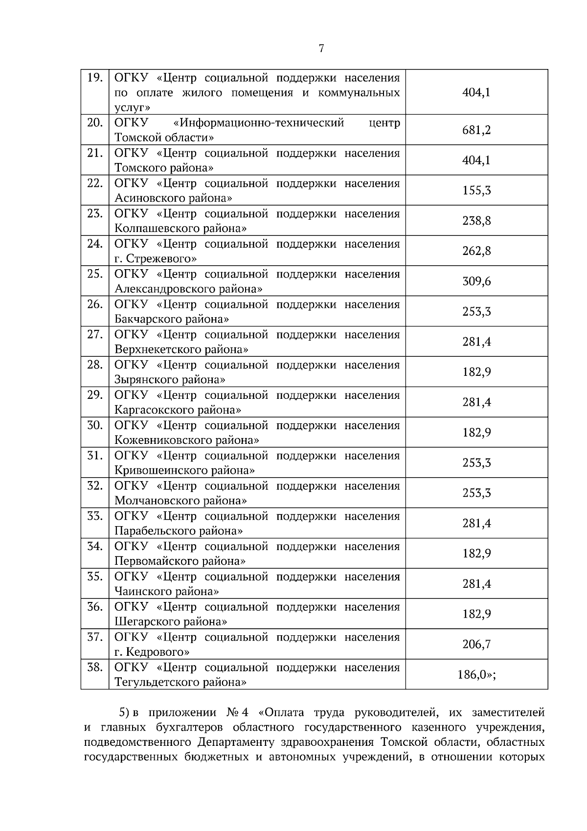
Постановление Администрации Томской области от 29.09.2023 № 443а
"О внесении изменений в постановление Администрации Томской области от 08.08.2012 № 303а"
Номер опубликования: 7000202310030013
Дата опубликования: 03.10.2023
Страница №7 из 39:
Увеличить