Официальное опубликование правовых актов
ОФИЦИАЛЬНОЕ ОПУБЛИКОВАНИЕ
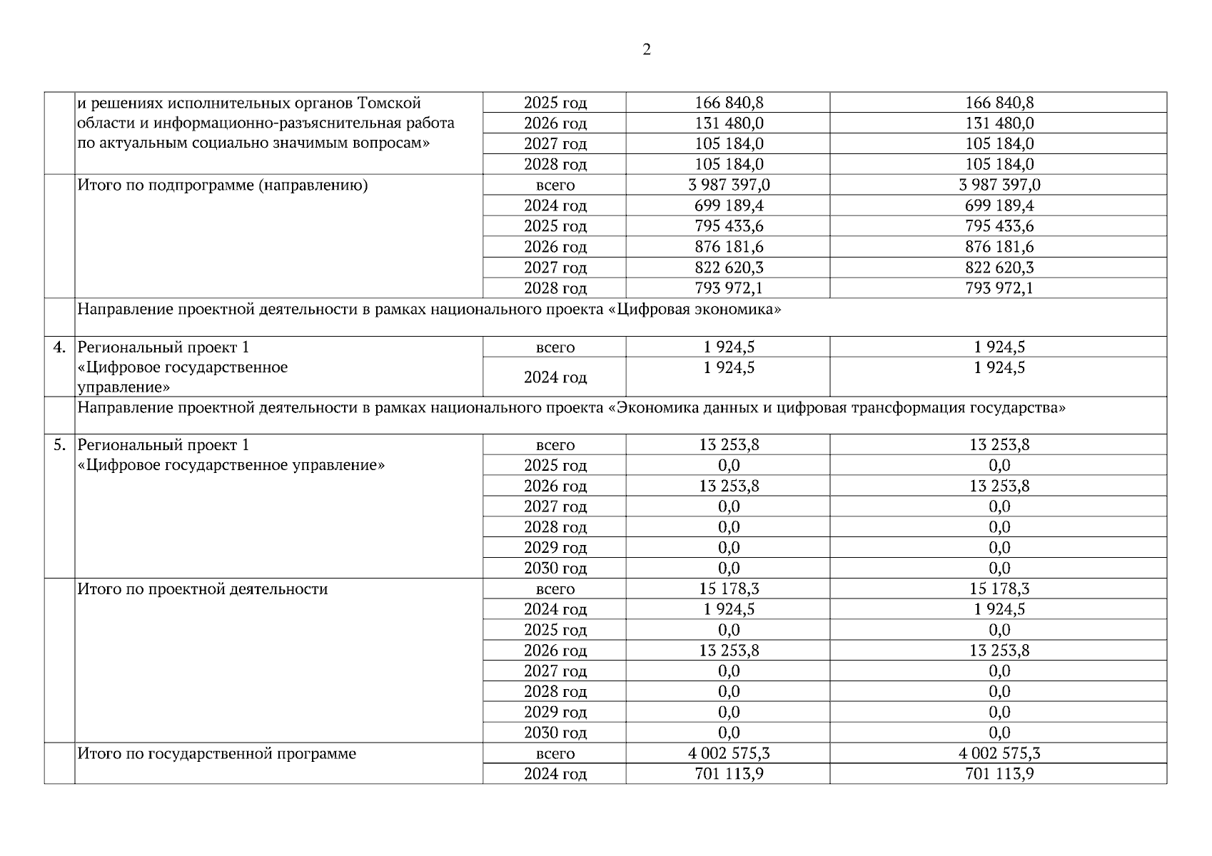
Постановление Администрации Томской области от 30.01.2026 № 26а
"О внесении изменений в постановление Администрации Томской области от 24.09.2019 № 335а"
Номер опубликования: 7000202602020001
Дата опубликования: 02.02.2026
Страница №11 из 18:
Увеличить