Официальное опубликование правовых актов
ОФИЦИАЛЬНОЕ ОПУБЛИКОВАНИЕ
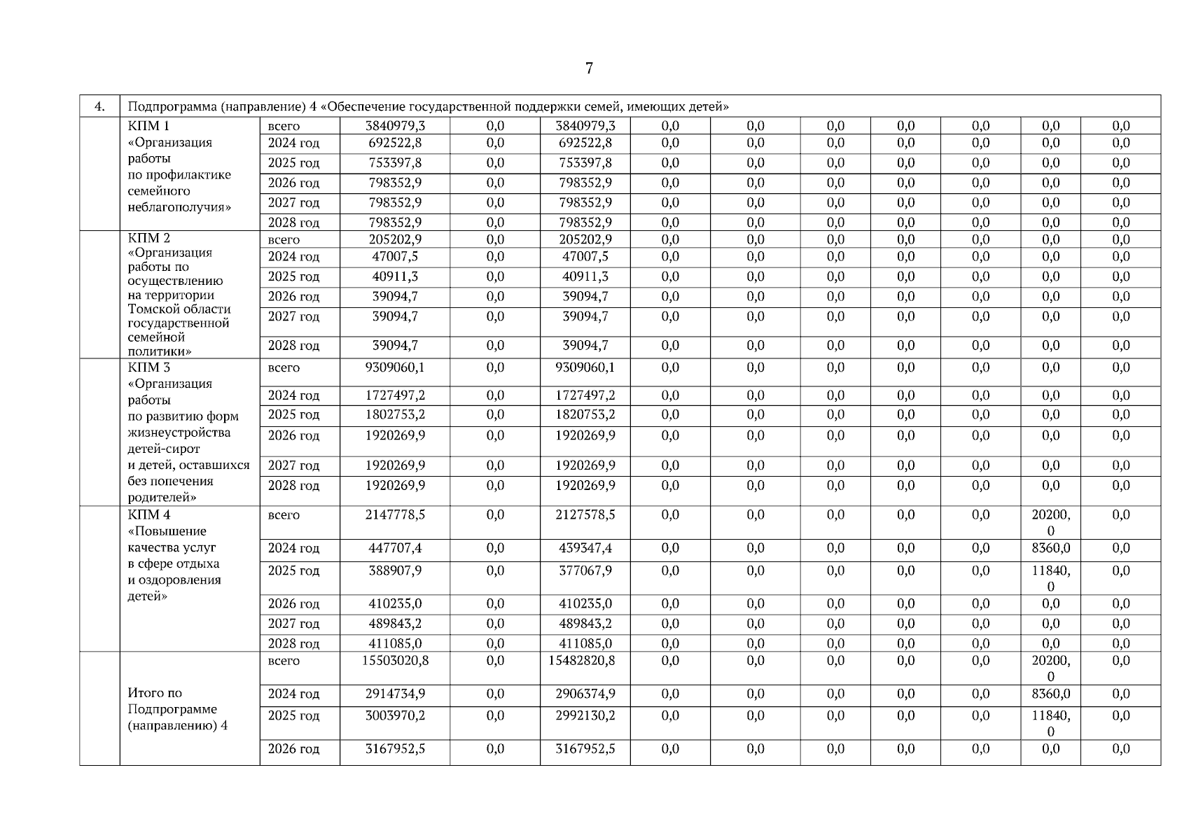
Постановление Администрации Томской области от 11.03.2026 № 84а
"О внесении изменений в постановление Администрации Томской области от 27.09.2019 № 361а"
Номер опубликования: 7000202603160005
Дата опубликования: 16.03.2026
Страница №17 из 100:
Увеличить