Официальное опубликование правовых актов
ОФИЦИАЛЬНОЕ ОПУБЛИКОВАНИЕ
Приказ Департамента здравоохранения Томской области от 27.12.2018 № 43
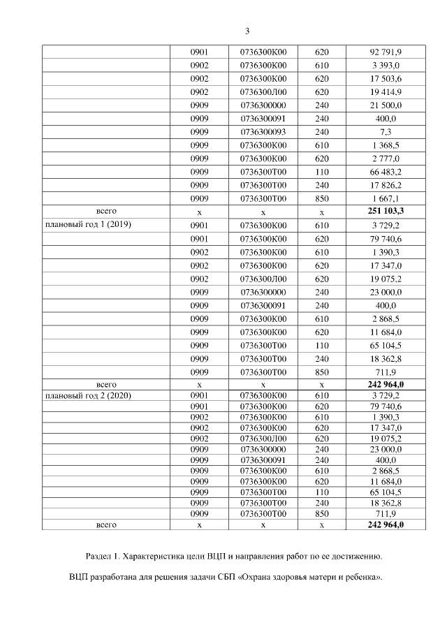
"О внесении изменения в приказ Департамента здравоохранения Томской области от 11.04.2018 № 15 "Об утверждении ведомственной целевой программы "Повышение эффективности оказания медицинской помощи в организациях родовспоможения и детства"
Номер опубликования: 7001201812290006
Дата опубликования: 29.12.2018
Страница №3 из 14:
Увеличить