Официальное опубликование правовых актов
ОФИЦИАЛЬНОЕ ОПУБЛИКОВАНИЕ
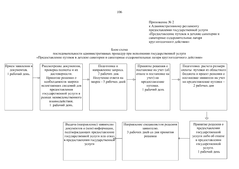
Приказ Департамента по вопросам семьи и детей Томской области от 08.02.2019 № 106-п
"О внесении изменений в приказ Департамента по вопросам семьи и детей Томской области от 01.09.2014 № 216-п"
Номер опубликования: 7001201902130003
Дата опубликования: 13.02.2019
Страница №106 из 116:
Увеличить