Приказ Департамента ЖКХ и государственного жилищного надзора Томской области от 02.04.2019 № 20
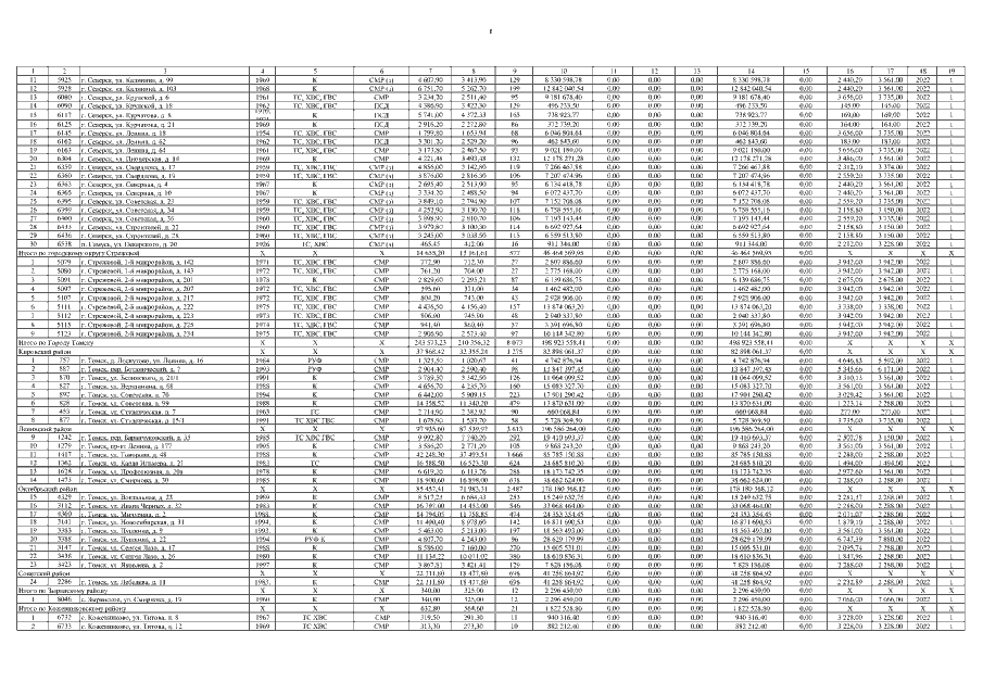
"Об утверждении Краткосрочного плана реализации в 2020-2022 годах Региональной программы капитального ремонта общего имущества в многоквартирных домах, расположенных на территории Томской области"
"Об утверждении Краткосрочного плана реализации в 2020-2022 годах Региональной программы капитального ремонта общего имущества в многоквартирных домах, расположенных на территории Томской области"
Номер опубликования: 7001201904040002
Дата опубликования:
04.04.2019
