Официальное опубликование правовых актов
ОФИЦИАЛЬНОЕ ОПУБЛИКОВАНИЕ
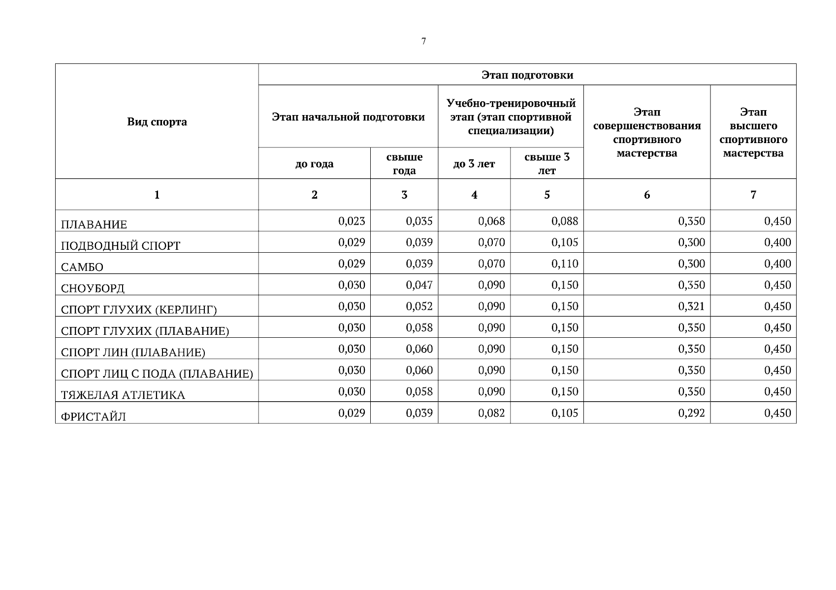
Приказ Департамента спорта Томской области от 13.12.2024 № 61
"Об утверждении Методических рекомендаций о порядке оплаты труда работников областных государственных учреждений, находящихся в ведении Департамента спорта Томской области"
(Зарегистрирован 17.12.2024 № 1822-39/2024)
Номер опубликования: 7001202412190001
Дата опубликования: 19.12.2024
Страница №7 из 7:
Увеличить