Официальное опубликование правовых актов
ОФИЦИАЛЬНОЕ ОПУБЛИКОВАНИЕ
Приказ Департамента градостроительного развития Томской области от 25.02.2025 № 13
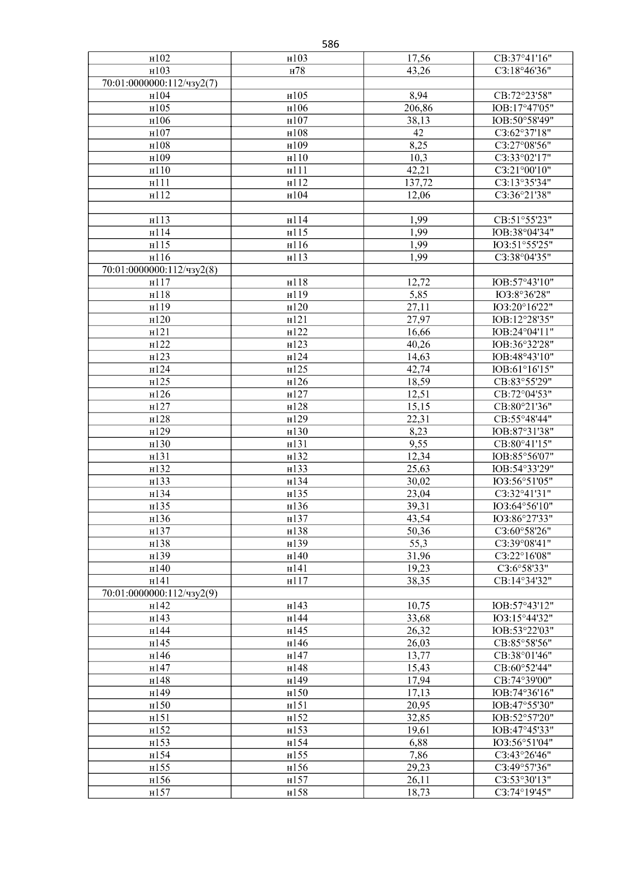
"Об утверждении документации по планировке территории (проекта планировки и проекта межевания территории) для размещения объекта трубопроводного транспорта регионального значения "Вдольтрассовый проезд на участке 120 152 км магистрального нефтепровода "Александровское-Анжеро-Судженск". Строительство"
(Зарегистрирован 10.03.2025 № 278-91/2025)
Номер опубликования: 7001202503130007
Дата опубликования: 13.03.2025
Страница №586 из 695:
Увеличить